Умейте расположить к себе
В чем причина нашего успеха, дорогуша? В моей харизме, конечно.
Фредди Меркьюри, вокалист группы Queen
Представьте, что два разных человека произносят одну и ту же речь: будет ли оказано одинаковое воздействие на аудиторию? Смогут ли оба оратора воспользоваться энергией убеждения и заставить слушателей действовать? Конечно же нет! Это вопрос доверия и харизмы.
Большинство людей думают, что «харизма либо есть, либо ее нет, и ничего тут не поделаешь». Однако мы полагаем, что изучение харизмы может благоприятно сказаться на вашей силе убеждения. Мы постараемся определить харизму с научной точки зрения и развеять все популярные заблуждения. Более того, мы покажем, что это все имеет отношение к первичному мозгу! Следующий раздел станет самым длинным в книге. Почему? Да потому, что даже самую низкопробную продукцию или идею можно продать благодаря харизме!
Мы полагаем, что харизму, или уровень доверия к вам со стороны аудитории, можно представить в виде функции шести атрибутов:
1. Сходство: общие с аудиторией черты или взгляды.
2. Выражение: слова, тон голоса и язык тела, которыми вы выражаете свое мнение.
3. Творческая изобретательность: воображение, создающее моменты «Эврика!», которые облегчают когнитивную задачу для ваших зрителей.
4. Страсть: любовь и энтузиазм, который вы питаете к своей теме обращения или сфере деятельности.
5. Бесстрашие: уверенность, которую вы излучаете, когда не ориентируетесь на исход.
6. Честность: доказательство, которое создает доверительные отношения между вами и аудиторией.
Сходство
Если хотите меня убедить, вы должны мыслить как я, чувствовать то, что я чувствую, и говорить на моем языке.
Цицерон, римский оратор
Эмпирические модели продаж уже несколько десятков лет рекомендуют искать сходство с вашими потенциальными клиентами. Менеджеры по продажам быстро цепляются за возможность обсудить гольф, если им становится известно, что их потенциальный клиент любит эту игру. Джон Барг, специалист по бессознательной психологии, утверждает: «Животные показывают предрасположенность к существованию со схожими видами с самого раннего возраста» [205]. Мы ищем сходство с нашими потенциальными клиентами, чтобы создать более эффективное взаимопонимание. Взаимопонимание – это «положительная эмоциональная связь» [206]. Оно отвечает за построение взаимоотношений через ощущение взаимного доверия и уверенности, за установку эффективной коммуникации и определение общих взглядов и интересов. Взаимопонимание можно описать как чувство к человеку, который нравится вам на интуитивном уровне.
Исследователи создали термины «ингруппа» и «аутгруппа». Они доказали, что люди в группах – в любых группах, даже созданных искусственно, когда их просят случайным образом вытащить красный или синий шарик из корзины, – гораздо охотнее делятся деньгами с теми, кто вытащил шар такого же цвета, как они [207].
Многочисленные исследования показывают, что самый лучший способ установить контакт и начать эффективное общение – это «зеркальное» отражение поведения собеседника. Речь идет об осанке и жестах, стиле одежды, общей активности, языковых привычках, включая лексикон, тембр и даже синхронное дыхание. Когда между двумя людьми установлено взаимопонимание, они естественным и бессознательным образом копируют привычки друг друга [208–210]!
Из всего этого напрашивается следующий вывод: если ваши клиенты видят сходство между собой и вашими словами, вашим внешним видом и поведением, то вы сможете быстро установить контакт и обрести в их глазах авторитет. Это сократит цикл продажи, поскольку взаимопонимание и убедительность являются основами доверия. Мы склонны доверять членам нашей группы, которых мы уважаем.
Необходимо запомнить: сходство
? Идея сходства применима ко всему: если ваши клиенты придерживаются консервативного стиля в одежде, берите с них пример. Помните времена, когда сотрудники IBM носили костюм-тройку с галстуком? Напротив, если вы сегодня хотите закрыть сделку с молодым стартапом к югу от Маркет-стрит – цифровой обители Сан-Франциско, – то повседневная форма одежды позволит установить более доверительный контакт, чем костюм-тройка.
? Говорите на одном языке с клиентами. Помните, что в каждой области деятельности существует свой жаргон, поэтому ваша задача – выучить его. Клиенты не должны подстраиваться под ваш стиль речи. Если ваши клиенты делают долгие паузы, то повторяйте за ними.
? Зеркальность. В своей книге Mirroring People: The New Science of How We Connect Марко Якобони [211], профессор из Калифорнийского университета в Лос-Анджелесе, провел масштабное научное исследование эмпатии.
Он рекомендует зеркально копировать (не передразнивать) человека, с которым вы пытаетесь установить взаимопонимание. Нейробиолог Антонио Дамасио вместе с коллегами показал, что когда мы копируем поведение нашего слушателя, мы начинаем смотреть на вещи его глазами, и подобное зеркальное поведение запускает нейронный механизм настоящей эмпатии [212].
? Если клиенты заметят, что вы зеркально копируете их поведение, это может привести к обратному эффекту, поскольку убеждение работает только тогда, когда объект убеждения не подозревает о том, что его убеждают. Поэтому следите за тем, чтобы аудитория не заметила, что вы специально одеваетесь как они, разговариваете как они и двигаетесь как они. Чем незаметнее вы будете копировать ваших слушателей, тем сильнее будет взаимопонимание.
Когда первичный мозг видит или слышит человека со схожим поведением, он воспринимает это как безопасную среду, в которой легче строить доверие.
Образ
Тот, кто хочет убеждать, должен вкладывать доверие в правильные слова, а не в правильные аргументы. Сила звука всегда была выше, чем сила смысла.
Джозеф Конрад, писатель
Логика говорит нам, что если бы мы были рациональными роботами, умеющими принимать решения, мы бы обращали внимание только на значение слов, обращенных к нам. Мы не попадали бы под влияние таких факторов, как тон голоса, стиль одежды или мимика собеседника. К сожалению, первичный мозг играет доминантную роль в принятии решений, поэтому благозвучность, тон и ритм голоса нашего собеседника, а также его образ (стиль одежды и язык тела) намного важнее слов.
Поскольку специалисты по эволюции не располагают данными о самых первых языках общения, они используют обширный спектр параметров для того, чтобы описать, когда человек разумный впервые начал использовать слова, каким образом возникли первые языки и какое воздействие они оказали на мозг. Изучение изменений в подъязычной кости – единственной кости, не связанной с другими костями, которая есть только у неандертальцев и людей и которая отвечает за речевые способности, – позволило исследователям предположить, что слова появились примерно 300 тысяч лет назад вместе с появлением инструментов. Можно также отметить, что первые формы письменности появились всего 10 тысяч лет назад, и для большинства людей чтение стало необходимостью всего несколько сотен лет назад. Несмотря на то что мозг умеет изменять нейронные проводящие пути – феномен нейропластичности, – подобные изменения не столь эффективны, как выделенные каналы, возникшие в результате долгосрочного воздействия эволюции. Письменная и даже устная речь не успела пройти достаточный эволюционный процесс, чтобы иметь хоть какое-либо воздействие на мозг. Поэтому для того, чтобы читать, мозгу приходится обращаться к областям, генетически запрограммированным на выполнение других задач. Чтение состоит из трех определенных этапов [213]:
? Визуальная обработка текста, которая затрагивает затылочную долю, и в особенности вентральный зрительный тракт в задней части мозга. Например, во время прочтения слова КОШКА вы декодируете визуальную форму пяти букв К-О-Ш-К-А. После многочисленных повторов процесс распознавания букв становится автоматическим, и мозг начинает декодировать буквы менее чем за 150 миллисекунд.
? Слуховая обработка звука для извлечения фонем (минимальных единиц звука, которые складываются в слоги). Например, фонемы из букв К-О-Ш-К-А формируют звук «КОШКА». Данная задача выполняется в верхней височной борозде, в левой части мозга.
? Семантическое декодирование слов для извлечения соответствующих понятий из ментального лексикона. Звук «КОШКА» необходимо соотнести с пушистым животным. Подобная система затрагивает несколько областей мозга, но основная часть задачи выполняется в височной доле, в левой части мозга.
Подводя итог, стоит отметить, что чтение и другие задачи, связанные с языком, такие как слушание, говорение и письмо, затрагивают сложные нейронные контуры, не связанные с первичным мозгом. Поэтому убеждение при помощи слов менее эффективно, чем невербальные подсказки. Исследователь Альберт Мейрабиан [186] доказал это, проведя ряд экспериментов, которые позволили сформулировать следующие выводы:
? При личном контакте есть три элемента коммуникации:
• слова;
• тон голоса;
• мимика (язык тела).
Он провел количественную оценку важности этих факторов и предложил ставшее популярным правило 7–38–35, которое часто неверно истолковывают. По Мейрабиану, эффект коммуникации складывается из
• 7 % ваших слов;
• 38 % тона вашего голоса;
• 55 % языка вашего тела.
? Когда три элемента коммуникации не совпадают между собой, люди начинают больше верить тональности и языку тела, а не словам.
Более того, исследователи из Университета Эмори в Атланте, Джорджия, подтвердили, что тон вашего голоса – высота, громкость, темп, ритм – зачастую передает больше информации, чем произносимые слова [214].
Поскольку первичный мозг мыслит образами, неудивительно, что аудитория сильнее реагирует на визуальную информацию, чем на звуковую. На деле исследования показывают, что во время телефонного разговора, при отсутствии визуальной коммуникации между участниками диалога, слова оказывают всего 14 % воздействия, а 86 % исходит от тона вашего голоса [215].

Рис. 8.30. Исследование Мейрабиана
Теперь обратимся к важности ключевых элементов, которые влияют на качество убеждения: слова, голос и язык тела.
Использование правильных слов
Разница между почти правильным словом и правильным словом имеет огромное значение – это все равно что разница между светлячком и светом.
Марк Твен, американский писатель
В главе 6, в разделе о доводах, мы уже узнали, что использование доводов с правильно подобранными словами серьезно влияет на то, насколько успешно клиенты запоминают услышанную информацию и насколько они доверяют услышанному. Рассмотрим воздействие слов более подробно.
В Оксфордском словаре содержится около 170 тысяч общеупотребительных английских слов (100 тысяч французских и 370 тысяч китайских), при этом для беглого владения любым языком достаточно знать всего 7000 слов. Вопрос вот в чем: существуют ли отдельные слова и выражения, оказывающие более сильное убеждающее воздействие?
Ответ – да, да, да.
Как надо использовать слова
? Используйте простые, короткие и однозначные слова. Поскольку первичный мозг не осуществляет языковую обработку, которая проходит в коре головного мозга, используйте слова, понятные четырех-пятилетнему ребенку. Избегайте сложных слов, которые активируют расширенные когнитивные функции [216]. Более короткие слова (с одним слогом) легче улавливаются и запоминаются, чем длинные [217]. Ориентируйтесь на простоту и известность, чтобы минимизировать нагрузку на мозг аудитории [218].
? Используйте короткие предложения. Благодаря работе Джорджа Миллера [97], исследователи смогли предположить, что наша рабочая память в состоянии удержать семь чисел, шесть букв или три-пять слов.
? Избегайте отрицаний. Психологи Ньювланд и Куперберг доказали, что большинство фраз с отрицательным значением оказывают более серьезную нагрузку на мозг и медленнее обрабатываются [219]. Вспомните, что когда вас просят «не думать о розовом слоне», вы не можете «не думать» о нем! Обратите внимание на когнитивную нагрузку, которая возникает в результате обработки двойного отрицания «вы не можете не думать!».
? Используйте положительные слова, но в меру. Положительные слова ассоциативно создают хорошее настроение у ваших слушателей. Однако чрезмерное использование излишне положительных слов, таких как фантастический, великолепный, замечательный или феноменальный, может быть воспринято как тактика обмана [220], что снизит вероятность убеждения.
? Говорите на языке-жаргоне вашей аудитории: используйте медицинские термины при выступлении перед врачами и технические выражения при разговоре с инженерами.
В книге Words Can Change Your Brain авторы Ньюберг и Уолдман [221] предлагают 12 стратегий разговора, которые вызывают глубокую эмпатию и доверие в мозге слушателей:
? Расслабьтесь.
? Не теряйте нить повествования.
? Развивайте внутреннее спокойствие.
? Будьте позитивнее.
? Сосредоточьтесь на самых важных ценностях.
? Обратитесь к положительному воспоминанию.
? Следите за невербальными подсказками.
? Выражайте благодарность.
? Говорите мягко.
? Говорите медленно.
? Говорите кратко.
? Слушайте внимательно.
Кроме того, если применить правило сходства и воспользоваться эмоциональным состоянием вашей аудитории, использование подходящих для этого состояния слов вызовет сильный интерес. Например, если аудитория:
? испытывает любопытство, можно использовать следующие слова: конфиденциальный, секрет, признание, спрятанный, невероятный, посвященный и т. д.;
? испытывает замешательство, можно использовать следующие слова: колеблющийся, запутанный, манипулировать, нечестный, сбитый с толку, переполняемый, нервный и т. д.;
? торопится, можно использовать следующие слова: мгновенно, под давлением, доказанный, безопасный, непомерный, срок выполнения, срочный и т. д.
Единственным исключением для правила зеркального копирования эмоций является злость. Если вы отражаете злость, это может спровоцировать реакцию «бей или беги» среди вашей аудитории, что совершенно не способствует установлению взаимопонимания.
Как не надо использовать слова
? Не используйте слова, которые могут быть непонятны вашей аудитории. Избегайте малопонятных аббревиатур или жаргонных выражений, которые могут запутать ваших слушателей.
? Не используйте слова-связки наподобие «э-м-м», «думаю», «полагаю», «надеюсь», «знаете». Они лишают сообщение яркости, отвлекают аудиторию и снижают вашу харизму.
? Если вы используете PowerPoint, Keynote или другую программу для презентаций, не читайте слайды. Люди читают в два-три раза быстрее, чем вы говорите (средняя скорость речи – 120 слов в минуту, а средняя скорость чтения – 250 слов в минуту), поэтому если на слайдах есть текст, вы рискуете оказаться в ситуации, когда слушатели уже дочитывают последнее предложение, а вы только начинаете первое. Подобное нарушение синхронизации между читаемой и слышимой информацией усиливает когнитивную нагрузку на мозг аудитории.
Используйте правильный тон
Я слушаю лишь тех, кто обращается ко мне в нужном тоне.
Уолт Уитман, американский поэт
Всем знакома следующая ситуация: звонит близкий друг или родственник, и вы по слову «привет» можете понять, все ли у него в порядке. Тон голоса содержит в себе столько информации, что вы моментально фиксируете любые отклонения.
Человеческий голос – это сложная комбинация звуковых волн, которые исходят от голосовых связок, вибрирующих с разной частотой. Голос управляется мышцами гортани (мышцы голосового аппарата), он зависит от формы и размера языка, твердого нёба, щек, губ, глотки и носового канала. Исследовательница Кристи Ладлоу доказала сложность мозговых процессов, вовлеченных в создание звуков. Ладлоу раскрыла критическую роль подкорковых структур в управлении человеческими звуками – таких, как прилежащее ядро, – которые существуют в виде группы клеток, расположенных в первичном мозге [222]. Клэр Тэн из Калифорнийского университета в Сан-Франциско также выявила существование нейронов, расположенных в верхней височной извилине, которая отдельно реагирует на изменения высоты тона [223]. Лингвисты называют эти изменения просодией речи. Подобные изменения высоты звучания могут менять значения предложения. Например, фраза «Джон любит фрукты», произнесенная падающим тоном, означает, что Джон любит фрукты больше, чем кто-либо другой. Ровный тон фразы «Джон любит фрукты» означает, что Джон предпочитает фрукты другой пище. Возрастающий ближе к концу фразы тон означает вопрос: «Джон любит фрукты?»
Несмотря на устоявшееся представление о том, что мозг использует сложный механизм для раскрытия новых уровней значения на основе просодии, Тэн доказала, что определенные нейроны реагируют на изменения тона. Большинство людей и не подозревают о существовании нейронов, отвечающих за просодию, поэтому им неизвестно, что эти нейроны влияют на значение их речи. Кроме того, Аннетт Ширмер из Сингапурского университета показала, что эмоциональный контекст, создаваемый путем использования различных вокальных тонов, действительно меняет порядок кодирования слов в памяти [224].
Многие подобные подсказки возникают бессознательно, и поэтому для того, чтобы звучать «правдиво», вы зачастую должны обладать недюжинным актерским талантом. Правдивость вашего обращения проявляется в тот момент, когда все составляющие вашего выражения – слова, тон голоса, мимика, зрительный контакт – образуют положительное сообщение, которое доказывает, что вам можно верить.
Человеческий голос характеризуется несколькими параметрами, которые можно улучшить для усиления убеждающего сообщения. К ним относятся:
? Тон: высокая или низкая частота.
? Интенсивность: громкость.
? Скорость: быстрая или медленная.
? Ритм: темп.
? Паузы: короткие или длинные.
Тон голоса
Исследователи показали, что люди с более низким тоном голоса считаются более привлекательными и чаще вызывают уважение [225]. В случае женщин голоса с высокими тонами считаются более привлекательными, а низкие тона рассматриваются как доминирующие. Здесь прослеживается влияние эволюции, поскольку повышение тона в женском голосе вызывается гормональными изменениями во время периода овуляции, в период, способствующий размножению [226]. В случае мужчин низкие голоса принято объяснять высоким уровнем тестостерона, который свидетельствует о здоровье, хорошей генетике и возможности справляться с угрозами – все качества, необходимые для выживания, то есть первичные качества!
В эксперименте с участием 121 студента, которые пытались воздействовать друг на друга, Джои Чен, социальный психолог из Иллинойского университета, доказал, что снижение тона голоса увеличивает силу вашего воздействия, вне зависимости от вашего пола [227].
Таким образом, мы рекомендуем вам использовать низкие тона голоса по мере возможности и в разумных пределах.
Интенсивность голоса
Исследователи показали, что люди, обладающие властью, склонны говорить громче и использовать больше вариаций интенсивности своего голоса [228].
Мы рекомендуем вам говорить чуть громче, чем аудитория, и варьировать громкость голоса.
Скорость речи
Исследователи из Университета Южной Калифорнии установили взаимосвязь между скоростью речи и влиянием [229]. Они выявили, что быстрая речь – это фактор, который создает доверие и усиливает убеждение. В то же время Гибсон, Эберхард и Брайант [230] утверждают, что в определенных условиях медленная речь может улучшать восприятие слушателя.
Мы рекомендуем говорить на 20 % быстрее, чем обычно, но не сбиваться в настойчивый темп.
Паузы
Правильно подобранное слово может быть эффективным, но вовремя сделанная пауза всегда эффективнее.
Марк Твен, американский писатель
Специалисты провели множество исследований на тему воздействия пауз на разговор. Например, Тайлер Кендалл написал целую книгу, посвященную этому вопросу: скорость речи, паузы и общая социофонетика [231].
Паузы обычно используются в различном контексте:
? После долгих предложений.
? Чтобы перевести дыхание.
? Чтобы собраться с мыслями.
? Чтобы дать шанс высказаться другому.
Исследователи из Лидского университета подтвердили, что паузы между каждой фразой усиливают способность слушателей к восприятию информации [232]. Другие исследователи доказали, что использование пауз добавляет правдивости вашей речи.
Таким образом, специалисты по убеждению используют паузы разной длины в разные моменты речи.
Вариативность
Исследование Петерсона и Каннито [234] подтвердило значимость таких параметров, как тон голоса, скорость речи и громкость. Оно также показало, что варьирование этих параметров усиливает эффективность обращения и повышает объем продаж. Для убеждения меняйте громкость голоса, скорость речи, длину пауз и даже тон голоса.
Помехи
В Исследовательской лаборатории ВВС США обнаружили, что если два человека начинают говорить одновременно, у слушателя снижается способность к восприятию информации, поскольку он начинает упускать некоторые просодические и речевые параметры, необходимые для соединения слов вместе в нужной фразе [235]. Как следствие, любая фоновая речь или внешний шум, такой как шум дорожного движения, влияют на способности слушателя к восприятию информации и ее запоминанию [236]. Всегда следите за тем, чтобы ваша речь не перекрывалась шумом фоновых бесед или уличного движения.
Отзеркаливание голоса
Отзеркаливание голоса слушателя несет в себе определенные преимущества – оно создает впечатление, что вы надежный, открытый и понимающий собеседник [238].
Когда между словами и тоном голоса возникает расхождение, слушатель начинает теряться [239]. Представьте, что один из ваших близких признается вам в любви громким и хриплым голосом. К чему мы ведем: чтобы передать грусть, используйте монотонный голос, а для демонстрации радости используйте более высокие тона.
Кроме того, обратите внимание, что в некоторых странах, таких как Япония или Филиппины, люди обращают еще больше внимания на тон, а не на смысл слов, чем мы в США [240]. Однако люди, не владеющие языком в достаточной степени, редко улавливают подобные тональные различия.
Использование правильного языка тела
Я говорю на двух языках: тела и английском.
Мэй Уэст
Как утверждает доктор Дэвид Гивенс, директор Центра по изучению невербальных коммуникаций, «когда мы говорим (или слушаем), наше внимание сосредоточено на словах, а не на языке тела. Однако наши мысли проявляются и там и там. Пока мы заняты сознательным обдумыванием нашей речи, бессознательное работает против нас».
Возьмем распространенный победный жест: вскинутые над головой руки. Маргарет Кинг, директор Центра культурных исследований в Филадельфии, утверждает: «Высоко поднятая рука выражает триумф, это очень древний жест. Я уверена, что он возник после удачной охоты, на которой удалось выследить и поймать добычу. Мы до сих пор используем язык тела, поскольку наш мозг давным-давно привык работать подобным образом, еще когда мы только становились людьми». По сути, наши жесты управляются первичным мозгом, поэтому неудивительно, что они являются обычной формой общения в животном мире.
Мимика
Американский язык жестов требует хорошей мимики.
Найл Ди Марко, американский актер
Пол Экман, о котором мы уже вкратце упоминали в этой книге, является общепризнанным специалистом по человеческим эмоциям и мимике: он описал более 8000 возможных лицевых выражений [241]. Экман также разработал систему для измерения испытываемых эмоций, которая основана на изменениях различных контрольных точек человеческого лица. Например, на рис. 8.31 показано счастье.

Рис. 8.31. Кодирование мимики
Некоторые наши эмоции на самом деле относятся к микроэмоциям и появляются всего на 1/25 секунды. Эти выражения имеют большое значение, поскольку их невозможно скрыть – они выявляют эмоциональное состояние вашего слушателя, включая потенциальные тактики обмана. Экман показал, что улыбки меняют электромагнитную активность мозга [242]. По сути, эффект мимики настолько силен, что мозг всегда будет реагировать на движения бровей, век и челюстей, даже если перед вами будет стоять робот [243].
Во время попыток продемонстрировать связь первичного мозга и распознавания лиц Цао и Ли Чан выделили отдельные кластеры нейронов, которые срабатывают только на определенные лицевые параметры. Они обнаружили, что для распознавания лицевых выражений мозг задействует 205 нейронов из двух отдельных областей. Исследователи провели тест, в котором они показали обезьянам несколько изображений лиц, а затем воссоздали эти изображения при помощи декодирования паттернов импульсов среди нужных нейронов: получившиеся изображения были практически идентичны тем, которые демонстрировались приматам [244].
Это объясняет, почему приматы и люди настолько хорошо различают миллионы лиц, обходясь при этом меньшим количеством нейронов, требующихся для выполнения этой задачи.
Как надо использовать мимику
? Отзеркаливайте все выражения, чтобы установить взаимопонимание с аудиторией… за исключением злости.
? Улыбайтесь! Улыбайтесь естественно: специалисты называют это улыбкой Дюшена. Как утверждает Экман, основное различие между настоящей и фальшивой улыбкой заключается в расширении круговой мышцы глаза.
? Расслабьте ваши лицевые мышцы (все 43). Во-первых, для того, чтобы улыбнуться, требуется меньше сокращений мышц, чем для того, чтобы нахмуриться, так что вы не перетрудитесь. Во-вторых, благодаря зеркальным нейронам в мозге вашей аудитории, вы сможете передать собравшимся свою улыбку, если будете улыбаться достаточно долго. Штрак, Мартин и Штеппер (1988) из Университета Мангейма (Германия) показали, что мимика человека влияет на его аффективную реакцию. Исследователи провели эксперименты, в которых они показывали людям мультфильмы и просили оценить, насколько им было смешно. Половине участников выдали карандаши и попросили зажать их между зубами, чтобы мышцы лица образовывали улыбку; как итог, участники, которых заставляли имитировать улыбку, посчитали мультфильм более смешным.
Как не надо использовать мимику
? Избегайте фальшивых улыбок, поскольку первичный мозг ваших слушателей сразу определяет – зачастую бессознательно – ложный характер вашей эмоции и перестает вам доверять. Лучше не улыбаться совсем, чем провоцировать отрицательные реакции.
Специалисты по убеждению используют мышцы вокруг глаз и ограничивают движения скул, избегая фальшивых эмоций и создавая улыбку Дюшена. Тренируйтесь!
Рукопожатие
Нейробиологи из Института Вейцмана (Израиль) обнаружили, что человеческое рукопожатие служит средством для обмена социальными химическими сигналами между оппонентами. После рукопожатия люди часто подносят руку к области носа и нюхают ее. Этот жест является эволюционировавшей потребностью в информации о человеке, с которым произошел обмен рукопожатиями, пришедшей на смену социально неуместной процедуре обнюхивания [245].
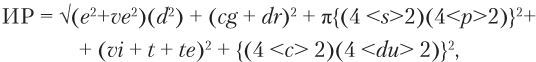
В 2010 году, в рамках новой кампании в Великобритании, компания Chevrolet обратилась к Джоффри Битти, профессору психологии, с просьбой определить лучшее рукопожатие: идеальное рукопожатие (ИР) для «убеждения и успокоения клиентов». Битти предложил следующую формулу:

где:
(е) зрительный контакт (1 = нет; 5 = прямой);
(ve) вербальное приветствие (1 = абсолютно неприемлемое; 5 = полностью приемлемое);
(d) улыбка Дюшена – улыбка глазами и ртом плюс симметрия обеих сторон лица и медленное затухание (1 = абсолютно фальшивая улыбка; 5 = идеальная улыбка Дюшена);
(cg) полнота обхвата (1 = абсолютно неполный; 5 = полный);
(dr) сухость ладони (1 = влажная; 5 = сухая);
(s) сила (1 = слабо; 5 = сильно);
(p) положение руки (1 = прижата к своему телу; 5 = в районе тела собеседника);
(vi) напор (1 = слишком слабый/слишком сильный; 5 = умеренный);
(t) температура рук (1 = слишком холодные/слишком горячие; 5 = теплые);
(te) фактура рук (5 = умеренная; 1 = слишком грубая/слишком гладкая);
(c) контроль (1 = слабый; 5 = сильный);
(du) длительность (1 = кратко; 5 = долго).
Несмотря на то что правила рукопожатия различаются в зависимости от страны, включая такие места, как Япония, где принято кланяться друг другу, эволюционное значение рукопожатия заключалось в проверке оппонента на наличие оружия в руке. Поскольку этот жест является первым контактом с потенциальным клиентом, специалист по убеждению должен быть знаком с основами правильного рукопожатия.
Как надо пожимать руку
? Поддерживайте прямой зрительный контакт во время рукопожатия.
? Начните с теплого вербального приветствия.
? Используйте улыбку Дюшена.
? Вкладывайте свою ладонь целиком в ладонь собеседника, чтобы совершить полный обхват.
? Рука должна быть сухой, не слишком грубой, но и не слишком гладкой. Рука должна быть теплой.
? Протягивайте руку по направлению к телу собеседника.
? Оцените физическое состояние собеседника и мысленно отрегулируйте силу рукопожатия.
? Сделайте несколько движений вверх-вниз с умеренной интенсивностью.
? Удерживайте рукопожатие в зависимости от ситуации: если вы встречаетесь с главой государства в присутствии прессы, приготовьтесь к длительному рукопожатию!
? Распределяйте вес равномерно на обе ноги.
? Держите плечи параллельно плечам вашего собеседника.
Как не надо пожимать руку
? Не надо сильно сжимать или перекручивать ладонь: это признак доминирования.
? Не кладите ладонь левой руки сверху: это показывает, что вы ищете расположения.
? Не подавайте потную руку: это признак волнения. Держите руки в сухости!
? Не подавайте холодную руку: согрейте руку, чтобы вас не приняли за «холодного» человека. Помните, что первичный мозг буквально реагирует на вещи: холодная рука = холодный человек!
Зрительный контакт
Зрительный контакт показывает, что вы уважаете и цените собеседника.
Мэри Ламберт, американская певица
Зрительному контакту посвящено множество работ; он так важен, что некоторые специалисты называют его зрительной коммуникацией. Исследования функциональной визуализации показали, что зрительный контакт может влиять на социальную активность нейронов [246]. Зрительный контакт используется детьми для привлечения внимания взрослых, он повышает их шансы на выживание за счет получения пищи и заботы [247]. На Западе отсутствие зрительного контакта трактуется как отстраненность, холодность и нехватка эмоционального интеллекта. Поддержание зрительного контакта запускает сближающую реакцию мозга и является прямым приглашением к взаимодействию [248]. Напротив, избегание зрительного контакта вызывает ощущение ухода от разговора [249]. Подобное избегание может быть воспринято вашим собеседником как признак того, что вы лжете, скрываете какую-то информацию [250] или проявляете социальное волнение [251], – все это совершенно не способствует установлению дальнейшего взаимопонимания.
В то же время избыток зрительного контакта, когда взгляд становится слишком пристальным, может быть воспринят как акт доминирования, превосходства или агрессии. Для первичного мозга это игра, поскольку страх в большинстве случаев передается при помощи мышц вокруг глаз [252]. Именно поэтому при встрече с гориллой или медведем следует избегать прямого зрительного контакта.
Исследователи из Университета Ньюкасла провели показательный эксперимент, чтобы доказать социальный эффект зрительного контакта. В одном из офисов своего университета они установили аппарат с кофе и чаем. Ценник на напитки был вывешен на видном месте, а рядом с аппаратом поставили копилку для денег. Особенность эксперимента заключалась в том, что на аппарате с напитками были прикреплены распечатанные картинки, которые менялись каждую неделю. Картинки варьировались от нейтральных изображений цветов до изображений мужских или женских глаз, которые смотрели прямо на человека, стоящего у аппарата. К слову, планировка помещения позволяла посетителям сделать себе напиток и уйти, не заплатив. В среднем люди платили в 2,76 раза больше в те недели, когда над аппаратом висели изображения глаз, чем когда были изображения цветов [253].
Другие исследования показали, что зрительный контакт повышает доверие и стимулирует открытое социальное поведение [254].
Большая часть зрительной коммуникации происходит вне уровня нашей осведомленности. Не стоит недооценивать влияние визуальной информации на первичный мозг. Вот такой пример: людям показывали две одинаковые фотографии женщины, с единственной разницей – на одном из фото зрачки женщины были искусственно расширены с помощью компьютерной программы. Семьдесят процентов опрошенных заявили, что женщина с расширенными зрачками была более привлекательна, но никто из этой группы не смог объяснить, в чем разница между фотографиями. Наука о размере зрачков называется пупиллометрия, она была придумана биопсихологом Экхардом Гессом из Чикагского университета; пупиллометрию сейчас используют для определения эмоций. Большинство устройств, отслеживающих движения глаз, также фиксируют размер зрачков и их самые минимальные сокращения. Это позволяет определять микроэмоции, которые обычно ускользают от традиционных методов анализа. Стоит также отметить, что расширение зрачков нельзя контролировать на сознательном уровне, поэтому известная поговорка «глаза – это зеркало души» имеет вполне научное обоснование.
Кроме того, как утверждают исследователи, женщинам больше нравятся мужчины с расширенными зрачками, что позволяет установить взаимосвязь между размером зрачка и сексуальным влечением [255].
Исследование, проведенное Голдманом и Фордайсом [256] из Миссурийского университета, доказало, что зрительный контакт, прикосновения и выражение голоса влияют на готовность людей помочь незнакомому человеку. Все эти факторы действительно вызвали более участливое поведение у испытуемых, с одним лишь исключением: желание помогать снижалось, когда зрительный контакт дополнялся прикосновением. Это свидетельствует о том, что сочетание двух условий (зрительный контакт и прикосновение) оказывают слишком сильное воздействие на желание помогать, а как нам известно, убеждение работает лучше, когда объект убеждения не подозревает о том, что его убеждают!
Существует один интересный факт о человеческой возможности распознавать лица.
Долгое время считалось, что глаза являются самым важным элементом, помогающим распознавать лица людей. Однако исследование Садра и Джаруди с факультета исследований мозга и когнитивных наук Массачусетского технологического института [257] показало, что критическую роль в распознавании лиц людей играют не глаза, а брови. Обратите внимание на рис. 8.32: на первой фотографии лица представлены без бровей, поэтому на ней сложно узнать президента Никсона и Вайнону Райдер, в отличие от второй фотографии, где лица показаны без глаз.

Рис. 8.32. Выражения лиц Никсона и Райдер
Как надо использовать зрительный контакт
? Поддерживайте зрительный контакт с собеседником не менее четырех секунд.
? Обрывайте зрительный контакт только в конце предложения или мысли.
? Если нужно установить романтические отношения, приглушите свет: ваши зрачки расширятся, и вы станете более привлекательны.
? Всегда помните о местных социальных нормах: в некоторых странах Азии, таких как Япония или Корея, слишком пристальный зрительный контакт считается проявлением агрессии и невежества. Кстати, в этом случае социальные нормы берут верх над первичными нормами, что является одним из редких исключений для универсальной природы первичного мозга.
Как не надо использовать зрительный контакт
? Если аудитория заметит, что вы искусственно пытаетесь установить зрительный контакт, вам перестанут доверять. Не смотрите слишком пристально; зрительный контакт должен быть естественным и ненавязчивым.
Правильная осанка и движения
Держитесь прямо. Вы можете возвышаться над другими, а можете казаться крошечным – это вопрос внутреннего стержня. Он не имеет никакого отношения к росту, вы сами делаете выбор, и это интересно.
Малкольм Форбс, американский предприниматель
Многие работы, посвященные языку тела, предполагают, что «наши невербальные действия формируют мнение других людей о нас». Оказывается, что нейронные сети, которые отвечают за язык, также контролируют наши жесты [258].
Исследования начали связывать осанку с уверенностью выступающего и с впечатлением, которое тот производит на аудиторию [259]. Профессор Кадди из Гарварда даже предположила, что «наше невербальное поведение влияет на отношение людей к нам». Несмотря на то что исследование, проведенное профессором Кадди, было предметом горячих споров, ее выступление на конференции TED стало одним из самых просматриваемых видео [260]. Кадди предполагает, что уверенная осанка за несколько минут может изменить исход многих переговоров. Кроме того, когда люди испытывают симпатию друг к другу, они естественным образом начинают копировать осанку, мимику и движения собеседника [261].
Как надо использовать осанку
? Если вы стоите, то примите волевую осанку, которая производит авторитетное впечатление на первичный мозг.
? Держите спину прямо, а подбородок – высоко.
? Распределяйте вес равномерно на обе ноги, носки ваших ступней должны смотреть на аудиторию и быть на ширине плеч.
? Убедитесь, что аудитория видит ваши ладони – это сигнал об отсутствии оружия.
? Если вы сидите, то держите спину прямо и не горбитесь.
Как надо двигаться
? Используйте как можно больше пространства: авторитетные люди владеют большими территориями.
? Делайте обоснованные жесты, которые совпадают с вашей речью. Например, если вы говорите: «Она вошла в огромную комнату», то можете развести руками, чтобы подчеркнуть тот факт, что комната действительно была «огромной». Ваш жест должен совпасть со словом «огромная».
? Как и в случае с тоном и громкостью голоса, не стесняйтесь варьировать свои движения. Постоянный контраст удерживает внимание и концентрацию аудитории.
Внешний вид
На основе внешнего вида и одежды аудитория может сформировать мнение о вашем стиле, интеллектуальном уровне, привлекательности и надежности за считанные секунды и практически бессознательно.
В книге The Beauty Bias («Ошибка красоты») Дебора Род, профессор права из Стэнфордского университета, доказала, что более привлекательных студентов считают более умными. Миловидные учителя получают высокие отзывы, симпатичные работники больше зарабатывают, красивые политики набирают больше голосов [262].
Итальянские исследователи разослали 11 тысяч резюме по 1500 объявлениям о работе. Они обнаружили, что при равных профессиональных качествах привлекательным женщинам перезвонили в 54 % случаев, а непривлекательным – в 7 % случаев. Привлекательным мужчинам перезвонили в 47 % случаев, а непривлекательным – в 26 % [263]. В США экономист Дэниел Хамермеш доказал, что внешне привлекательный мужчина зарабатывает на 230 тысяч долларов больше за свою карьеру, чем его менее симпатичные конкуренты [264]. Существует даже отдельное направление экономики, посвященное красоте: красономика.
Это может показаться несправедливым, но бессознательный первичный мозг относится с большим доверием к симпатичным людям: красивая внешность (то есть хорошая генетика) связывается с более крепким здоровьем, что, в свою очередь, ассоциируется с более высокими шансами на выживание.
Специалисты по убеждению держат спину прямо и носят обувь на каблуке (чтобы казаться выше), они поддерживают хорошую физическую форму, следят за прической и носят хорошие костюмы, а женщины-ораторы также используют профессиональный макияж.
Творческий подход
Усложнение простого – это банальность; упрощение сложного – это творческий процесс.
Чарльз Мингус, американский музыкант
Благодаря творческому подходу сообщение обретает дополнительную силу – это давно доказанный факт. Однако некоторые исследователи, например, Роберт Смит и Сиа Ян из Индианского университета, решили более подробно изучить влияние творческого подхода на эффективность убеждающего сообщения.

Рис. 8.33. Рекламный щит 3M представляет собой пример рекламы, которую можно назвать творчески интересной
Основными преимуществами творческого подхода являются простота и самобытность – они одинаково успешно воздействуют на первичный мозг. Постоянно приходится бороться за внимание аудитории с другими мастерами убеждения, и творческий подход помогает выделить сообщение из общей массы; в противном случае вас будут игнорировать с самого начала выступления.
Крис Уоткинс, профессор психологии из Абертейского университета в Шотландии, доказал, что люди с творческой жилкой воспринимаются как более привлекательные, что также усиливает их харизму.
Основные недостатки творческого подхода можно сформулировать следующим образом: он отнимает время, энергию и усилия, которые уходят на обдумывание творческих идей. Люди зачастую тратят целые дни на поиск простых и одновременно оригинальных способов оформления убеждающего сообщения. Но есть и хорошие новости: к творческим идеям можно найти более короткий путь, он называется «многообразие».
Многообразие как короткий путь к творческому подходу
Многообразие создает последовательность противоположных друг другу событий, которые держат первичный мозг в напряжении.
Рассмотрим несколько основных вариантов использования многообразия, при помощи которых вы сможете обрести свой собственный стиль, как это сделали Пикассо, Рэй Чарльз или Стив Джобс:
? При любом удобном случае заменяйте текст на фото или видео: помните, что первичный мозг мыслит образами.
? Используйте различные средства: например, в разгаре презентации PowerPoint перейдите на откидную или магнитную доску, чтобы объяснить следующую мысль или обсудить сложное понятие.
? Меняйте стиль шрифта, размер и цвет. Читабельность вашего текста влияет на способности аудитории к восприятию и обработке информации, а некоторые исследования доказали, что определенные шрифты подходят к определенному цветовому фону, как в PowerPoint, так и в печатном виде. Georgia, Helvetica, Verdana, Gill Sans и Arial будут оптимальны в большинстве случаев [265–267].
Увлеченность
Все великие свершения в этом мире были достигнуты благодаря страсти.
Георг Гегель, немецкий философ
Вопрос: что объединяет следующих людей помимо признанной славы?
? Стивен Хокинг – физик-теоретик и космолог.
? Том Брэди – квотербек[3] New England Patriot.
? Далай Лама – буддийский духовный лидер и представитель тибетского народа.
? Мэрил Стрип – актриса.
Ответ: все они живут своим делом.
Основываясь на теориях эмоционального заражения, исследователи из Мюнхена доказали, что если руководитель страстно увлечен развитием и инновациями, то это оказывает положительное воздействие на сотрудников [268].
Несмотря на абстрактную природу увлеченности, первичный мозг вашей аудитории умеет безошибочно определять ее по вашим словам, голосу и языку тела. Минимальное ускорение темпа речи, повышение тона ближе к концу предложений, легкое покраснение кожи или расширение зрачков в нужный момент – все эти признаки могут свидетельствовать о вашей увлеченности. Сознательный мозг вашей аудитории не всегда реагирует на подобные признаки, но ее первичный мозг моментально понимает, что вы «увлеченная личность».
Как надо использовать увлеченность
? Учитесь накапливать увлеченность, старайтесь не проводить важные переговоры, когда она на исходе, например после изматывающих перелетов или неудачных мероприятий.
? Окружайте себя увлеченными людьми. Поскольку увлеченность заразна, выбирайте увлеченных компаньонов: остальное произойдет само собой.
? Если вы делаете то, что любите, и любите то, что делаете, аудитория сразу почувствует увлеченность. Учитесь любить то, что имеете, а не то, что хотите.
? Увлеченности много не бывает, поэтому учитесь передавать ее оригинально и с огоньком: это поможет набрать несколько очков в пользу харизмы. Вдохновляйтесь великими ораторами, такими как Мартин Лютер Кинг, Ганди, Черчилль или Стив Джобс!
Как не надо использовать увлеченность
? Не притворяйтесь. Плакать в нужный момент умеют только профессиональные актеры – для передачи грусти требуется владеть всеми мышцами лица, менять тон голоса и принимать верное положение тела. Поэтому даже если вы научитесь выжимать из себя слезы, аудитория всегда сможет уловить мельчайшие несоответствия и определить, что ваша увлеченность – фальшивка. У слушателей сработает сигнал тревоги, и вы сразу потеряете их доверие.
Бесстрашие
У вас всегда есть выбор: либо ваша цель, либо ваши страхи.
Сэмми Дэвис-младший, американский эстрадный артист
Как и в случае со страстью, через слова, голос и язык тела передается и страх. Исследование, проведенное Лилианн Пароди, доказало, что даже запаха людей, испытывающих страх, достаточно для того, чтобы спровоцировать активность миндалевидного тела – части первичного мозга [269]. Аудитория может почувствовать страх, что уж говорить об остальных сознательных и бессознательных сигналах, которые неизбежно проявятся в той или иной форме! Любой признак страха в вашем поведении будет моментально замечен первичным мозгом вашей аудитории, который воспримет это как знак неминуемой опасности.
Согласно недавно опубликованному списку четырнадцати самых главных страхов, страх выступления перед публикой занимает у американцев первое место (41 % респондентов), он опередил страх высоты, страх насекомых, страх банкротства и даже страх смерти (седьмое место, 19 % респондентов) [270].
Боязнь сцены, крайнее проявление страха выступления перед публикой, активирует симпатическую нервную систему за счет выброса адреналина. Это запускает целый каскад реакций: учащенное сердцебиение, сухость во рту, повышенное кровяное давление, покраснение лица, повышенное потоотделение, одышка, головокружение и тошнота (реакция тела «бей или беги»). Из-за страха с мимикой происходит следующее:
? Приподнимаются верхние веки.
? Напрягаются нижние веки.
? Широко открываются глаза.
? Раздуваются ноздри.
? Приоткрываются губы.
Все эти признаки быстро фиксируются нашим мозгом хищника и воспринимаются как возможность выследить жертву… вместо возможности попасть под влияние харизматичного оратора! Скрывайте любые признаки страха, даже если этот страх относится к личным переживаниям по поводу возможного неудачного закрытия сделки или потери доверия потенциального клиента.
Как надо и как не надо использовать страх
? Если вы испытываете боязнь сцены или заметно нервничаете, разорвите последовательность реакций на эту боязнь. Первичный мозг думает так: сердце бьется слишком часто, значит, рядом угроза, поэтому мне надо готовить организм к бою или бегству, то есть я должен заставить сердце биться еще чаще. Как только вы чувствуете ускорение сердечного ритма, начинайте глубоко дышать, чтобы увеличить приток кислорода и выровнять сердцебиение. Вам также следует объяснить самому себе, что это всего лишь презентация… даже если это последний шанс в вашей жизни и вы стоите на сцене перед двумя миллионами людей, это всего лишь презентация. За вами не бежит кровожадный тигр, поэтому дышите глубоко, это снимет биологические симптомы страха.
? Второй способ избавления от боязни сцены требует дополнительной подготовки. За несколько дней или недель до мероприятия начните практиковать короткую медитацию простым методом: представьте, как вы выходите на сцену, произносите вступительную речь, проводите основную презентацию и раскланиваетесь под овации в конце. Нарисуйте в своем воображении как можно больше деталей, касающихся будущего мероприятия, планировки и оформления зала, лиц слушателей, всех элементов вашей презентации, – так вы запрограммируете первичный мозг на восприятие знакомой, безопасной среды. Повторите это упражнение несколько раз перед мероприятием. В день презентации легкое волнение не превратится в полноценную боязнь сцены, поскольку первичный мозг будет думать: «Я знаю это место, я был здесь несколько раз, мне не о чем беспокоиться, поскольку в конце мне будут аплодировать стоя». Если вы страдаете от боязни сцены или сильного волнения, попробуйте этот метод!
? Репетируйте, репетируйте и еще раз репетируйте. Во-первых, это поможет вам запомнить всю речь целиком и вы сможете полностью сосредоточиться на тоне вашего голоса и языке тела. Во-вторых, знание материала поможет вам держаться увереннее, а также снизит нервозность, которая вызывает симптомы боязни сцены. Вы будете выглядеть естественно и спокойно – как харизматичная личность.
? Говорите по существу и не теряйте голову. Приложите максимум усилий и забудьте о результате: это бизнес, а не опасная для жизни ситуация!
? Многие профессиональные ораторы, включая Кристофа и меня, утверждают, что небольшое волнение только помогает им во время выступлений: оно позволяет собраться с мыслями. Однако подобные специалисты переводят это волнение в возбуждение, которое воспринимается аудиторией как признак страсти!
В древние времена страх служил для нас отличным индикатором неминуемой угрозы, однако в сегодняшнем деловом мире он стал контрпродуктивным. Харизматичные ораторы прилагают массу усилий для устранения малейших признаков страха.
Честность
Тот, кто лукавит по мелочам, не заслуживает доверия в серьезных вопросах.
Альберт Эйнштейн, физик
Вы когда-нибудь задумывались над тем, как мы воспринимаем консультанта по продажам, когда он подходит с вопросом: «Вам помочь?» Это простой вопрос, но за ним скрывается истинное отношение: насколько искренне и честно консультант хочет вам помочь? А может, он задал этот вопрос только потому, что это его работа? За 400 миллисекунд, которые потребовались первичному мозгу, чтобы прослушать вопрос, вы уже успели решить – бессознательно, – стоит ли доверять этому человеку и продолжать разговор. Если консультант владеет навыками общения, он успел позаботиться о зрительном контакте и дружеском тоне голоса во время произнесения вопроса, но даже все вышеперечисленные элементы его харизмы не смутят первичный мозг, который будет думать: можно ли доверять этому человеку, насколько он честен?
Исследователи доказали, что наш мозг умеет эффективно распознавать ложь. Они также показали, что бессознательное определение обмана – задача первичного мозга – более эффективно, чем сознательное [194, 271].
Как надо использовать честность
? Придерживайтесь правды и только правды. Не переходите границы. Многие продавцы с легкостью утверждают: «Да, мой продукт умеет то-то и то-то», но вы можете потерять все доверие в один момент, если выяснится, что это не так.
? Если вы хотите выделить определенную характеристику вашего продукта, то упоминайте ее после описания недостатка или слабого места. Как утверждает Чалдини [167], люди больше верят в правдивость вашей характеристики, если она следует за недостатком.
? Почему полезно говорить правду: это снижает вашу когнитивную нагрузку. Исследователи из Великобритании доказали, что у людей, которых просили убедительно врать, были обнаружены признаки когнитивной перегрузки – они забывали некоторые детали и моргали реже, чем обычно [272]. Подобные признаки не ускользнут от внимания первичного мозга вашей аудитории.
Завершая тему харизмы, стоит отметить, что исследования снимают все вопросы. То, что вы говорите, менее важно, чем то, как вы это говорите. Подумайте о посещении занятий по актерскому мастерству, там вы научитесь правильно использовать голос и язык тела: это будет самым эффективным способом развития ваших убеждающих способностей! Вы должны понимать, что бессознательное управление этими параметрами требует долгих тренировок. Ваша цель – избавиться от постоянных мыслей о правильной осанке, зрительном контакте или мимике; полностью сосредоточьтесь на убедительности ваших аргументов и следите за реакцией аудитории, чтобы подстраиваться под нее в режиме реального времени! Самые харизматичные ораторы умеют импровизировать и находить идеальные ответы на самые сложные и неожиданные вопросы. Если вы еще не достигли такого уровня – репетируйте, тренируйтесь и упражняйтесь!
Более 800 000 книг и аудиокниг! 📚
Получи 2 месяца Литрес Подписки в подарок и наслаждайся неограниченным чтением
ПОЛУЧИТЬ ПОДАРОК