19.2. Специализация и типизация магазинов
Одно из направлений совершенствования розничной торговой сети – ее специализация. Она способствует облегчению труда торговых работников и росту его производительности, более эффективному использованию материально-технической базы торговли и оказывает положительное влияние на качество обслуживания покупателей. Специализация магазинов может осуществляться по:
• товарному профилю (признаку);
• формам торгового обслуживания;
• функциональной роли.
Ведущим направлением специализации является специализация магазинов по товарному признаку, предусматривающая ограничение их деятельности торговлей отдельными видами или группами товаров при одновременном расширении ассортимента каждой группы.
Необходимость специализации розничных торговых предприятий – следствие постоянного изменения ассортимента товаров, который нуждается в глубоком расчленении всей товарной массы на группы. В специализированных магазинах имеются лучшие условия для более тщательного изучения покупательского спроса, повышения квалификации торговых работников. Здесь имеется больше возможностей для предложения покупателям широкого ассортимента товаров в пределах одной или нескольких родственных товарных групп, для более эффективного воздействия на производство товаров.
В то же время чрезмерно узкая специализация магазинов может отрицательно сказаться на торговом обслуживании населения, так как она может привести к территориальному удалению их от потребителей, что, в свою очередь, вызовет увеличение затрат времени на приобретение товаров. Кроме того, рассредоточенность товаров по нескольким магазинам усложняет совершение единой комплексной покупки.
С учетом товарной специализации магазины делят на следующие виды:
универсальные – реализующие универсальный ассортимент продовольственных или непродовольственных товаров (универсам, универмаг и т. п.);
специализированные, в основу построения ассортимента которых положены товары одной товарной группы или ее части (узкоспециализированные);
комбинированные – реализующие несколько групп товаров, связанных общностью спроса и удовлетворяющих отдельные потребности (мясо-рыба, трикотаж-галантерея), а также специализирующихся на продаже потребительских комплексов (товары для женщин, для детей, для дома и т. д.).
смешанные, ведущие торговлю узким ассортиментом продовольственных товаров, не связанных общностью спроса. Специализация магазинов по товарному признаку нашла более широкое распространение в городах, где довольно высокий уровень концентрации предприятий розничной торговли.
В потребительской кооперации специализированные магазины создаются, как правило, на основе использования или реконструкции действующих торговых предприятий. Рост их численности сдерживается из-за рассредоточения магазинов по небольшим населенным пунктам.
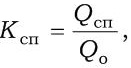
Для определения уровня специализации розничной торговой сети рассчитывают коэффициент специализации (Ксп) по формуле:

где Q cп – количество специализированных магазинов в населенном пункте (районе);
Q o – общее количество магазинов в населенном пункте.
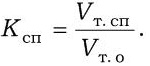
Уровень специализации может быть определен и путем отношения торговой площади специализированных магазинов к общей торговой площади магазинов или отношения розничного товарооборота специализированных магазинов к товарообороту всех магазинов

или отношения розничного товарооборота специализированных магазинов к товарообороту всех магазинов.

Рассчитав этот показатель приведенными тремя способами, можно составить более четкое представление об уровне специализации розничной торговой сети в населенном пункте, районе и т. д.
На рациональное развитие розничной торговой сети, ее построение и размещение большое влияние оказывает типизация предприятий розничной торговли.
Под типизацией понимают систему мероприятий, направленных на отбор технически совершенных и экономически эффективных типов магазинов.
Типизация позволяет устранить излишнее многообразие типов магазинов и способствует более рациональному управлению розничной торговой сетью. Благодаря ей можно шире применять типовые решения по таким направлениям, как формирование товарного ассортимента, выбор торгово-технологического оборудования, внедрение рациональной организации труда и т. д.
К основным признакам, определяющим тип магазина, относятся:
• ассортиментный профиль;
• размер торговой площади;
• применяемая форма торгового обслуживания.
Так, в соответствии с ГОСТ Р 51773-2001 «Розничная торговля. Классификация предприятий» к универсальным магазинам относятся 7 типов предприятий, характеризующихся основными признаками, приведенными в табл. 3.
Таблица 3
ОСНОВНЫЕ ПРИЗНАКИ, ХАРАКТЕРИЗУЮЩИЕ ТИПЫ УНИВЕРСАЛЬНЫХ МАГАЗИНОВ


Как видно из табл. 3, к группе универсальных магазинов отнесены наиболее крупные по торговой площади типы магазинов, применяющие современные формы торгового обслуживания (преимущественно самообслуживание). Специализированные продовольственные магазины (Рыба, Мясо, Колбасы, Минеральные воды и т. п.), а также специализированные непродовольственные магазины (Мебель, Одежда, Обувь и т. п.) должны иметь торговую площадь не менее 18 м2. Ассортимент реализуемых ими товаров определяется в соответствии со специализацией магазина. Они могут применять самообслуживание, индивидуальное обслуживание через прилавок или другие формы обслуживания в зависимости от ассортимента реализуемых товаров.
К магазинам прочей товарной специализации относят следующие типы: Природа, Семена, Зоомагазин, Книги и т. п. Их минимальная торговая площадь – 18 м2. Ассортимент товаров в таких магазинах формируется с учетом их специализации. Здесь могут применяться различные формы торгового обслуживания.
Характеристики неспециализированных непродовольственных магазинов представлены в табл. 4.
Таблица 4
ОСНОВНЫЕ ПРИЗНАКИ, ХАРАКТЕРИЗУЮЩИЕ ТИПЫ НЕСПЕЦИАЛИЗИРОВАННЫХ НЕПРОДОВОЛЬСТВЕННЫХ МАГАЗИНОВ


Неспециализированные продовольственные магазины типа «Продукты» (Минимаркет) должны иметь торговую площадь не менее 18м2. Они торгуют узким ассортиментом продовольственных товаров, основные из которых хлеб, кондитерские товары, гастрономия, винно-водочные изделия, пиво, безалкогольные напитки. В них применяется индивидуальное обслуживание через прилавок.
Магазины со смешанным ассортиментом товаров могут иметь торговую площадь не менее 18 м2 и узкий ассортимент продовольственных товаров, не связанных общностью спроса. Они применяют индивидуальное обслуживание покупателей через прилавок.
Типы магазинов для проектирования и нового строительства также делятся на типоразмеры. К группе ведущих типов здесь следует отнести магазин с универсальным ассортиментом непродовольственных товаров – «Универмаг» и магазин с универсальным ассортиментом продовольственных товаров и отделом непродовольственных товаров повседневного спроса – «Универсам». Наиболее массовый тип предприятия этой группы – магазин по продаже товаров повседневного спроса. В эту же группу включены магазины «Продукты», «Промтовары», торгующие соответственно продовольственными и непродовольственными товарами различных групп, а также специализированные магазины по торговле продовольственными или непродовольственными товарами, комиссионные магазины и магазины-заготпункты различной торговой площади.
При организации сети магазинов в городах и поселках городского типа пользуются Номенклатурой типов магазинов. Она включает основные и дополнительные типы магазинов.
Основные типы магазинов представляют собой предприятия, на основе которых в перспективе должна быть создана рациональная система торгового обслуживания населения. Магазины этой группы создаются за счет нового строительства и реконструкции действующих предприятий с изменением в случае необходимости их ассортиментного профиля.
Дополнительные типы магазинов предназначены для применения при реконструкции и использовании действующих торговых помещений.
Сеть магазинов потребительской кооперации представлена номенклатурой, включающей основные типы магазинов для проектирования и нового строительства и типы магазинов для переспециализации действующих предприятий.
Типы торговых предприятий не являются неизменными. Они совершенствуются под влиянием процессов, связанных с переходом к рыночной экономике, а также научно-технического прогресса и других факторов. Так, в последние годы в городах появились гипермаркеты – крупные магазины самообслуживания с широким ассортиментом продовольственных и непродовольственных товаров. Магазины оснащены современной торговой мебелью и торгово-технологическим оборудованием. В них применяется прогрессивная технология.
Главное отличие гипермаркетов от других магазинов – очень большие (не менее 5000 м2) торговые площади и огромные объемы продаж. Кроме того, в них применяется политика низких цен и небольших наценок. Оплата за товары производится в едином контрольно-кассовом узле магазина при выходе. У гипермаркетов устраиваются большие стоянки для автомашин покупателей. Их удобно посещать всей семьей и совершать закупки продуктов на длительное время.
Более 800 000 книг и аудиокниг! 📚
Получи 2 месяца Литрес Подписки в подарок и наслаждайся неограниченным чтением
ПОЛУЧИТЬ ПОДАРОК