18.3. Организация и технология завоза товаров на розничные торговые предприятия
Основанием для завоза товаров на розничное торговое предприятие служит заявка. Она составляется по установленной форме. В ней указывают наименование товаров и основные их ассортиментные признаки (вид, сорт и т. д.), требуемое количество товаров. Заявку, составленную в двух экземплярах, подписывает заведующий или директор магазина, затем ее заверяют печатью и направляют поставщику для исполнения.
Товары могут доставляться в магазины и другие пункты продажи централизованным и децентрализованным методами.
Наиболее эффективный метод доставки товаров на розничные торговые предприятия – централизованный завоз, при котором доставка товаров осуществляется силами и средствами поставщика на основе заявок розничных торговых предприятий в согласованные сроки. Применение этого метода позволяет организовать более четкое снабжение магазинов товарами, не отрывает работников розничных торговых предприятий от выполнения их основных функциональных обязанностей.
При рационально организованной централизованной доставке товаров эффективнее используется рабочая сила и транспорт, снижаются издержки обращения. Товары завозятся ритмично по графикам, благодаря чему в магазинах поддерживается стабильный ассортимент. Ускоряется оборачиваемость товаров, уменьшается их порча.
При централизованной доставке завоз товаров в розничную торговую сеть может осуществляться собственным транспортом поставщика или транспортом общего пользования.
Если завоз товаров осуществляется автотранспортом общего пользования, то наряду с договором поставки, который заключается между поставщиком и покупателем, поставщик заключает договор с автотранспортным предприятием на перевозку грузов.
Оптовые предприятия и другие поставщики, осуществляющие централизованный завоз товаров, проводят следующие подготовительные мероприятия:
• анализируют расположение торговой сети, группируют предприятия розничной торговли по типам и объему товарооборота;
• рассчитывают грузооборот, оптимальные размеры поставки и частоту завоза товаров, потребность в транспортных средствах и многооборотной таре и разрабатывают рациональные маршруты доставки товаров;
• осуществляют подготовку механизмов, транспортных средств и оборудования экспедиционных складов и предприятий розничной торговли для рационального выполнения операций, связанных с доставкой товаров;
• устанавливают систему материальной ответственности сторон за выполнение условий централизованной доставки;
• рассчитывают эффективность применения централизованной доставки товаров и выявляют резервы ее повышения.
Анализируя дислокацию розничной торговой сети, обращают внимание на следующие данные: наименование, типы розничных торговых предприятий, среднемесячный розничный товарооборот, площадь торгового зала и помещений для хранения товаров, численность работников, режим работы магазина, расстояние от магазина до оптовой базы или другого поставщика.
Грузооборот определяют на основе данных о товарообороте и средней цены 1 т товара.
Частоту и оптимальные размеры завозимых партий товара определяют для того, чтобы обеспечить бесперебойную торговлю товарами соответствующего ассортимента при минимальных размерах товарных запасов.
При определении частоты завоза товаров учитывают физико-химические свойства товаров, предельные сроки их реализации, среднедневной объем продажи, размеры установленных неснижаемых товарных запасов и другие факторы. Так, хлебобулочные изделия должны завозиться в магазины ежедневно, другие продовольственные товары, имеющие небольшие предельные сроки реализации – не реже чем через два–три дня. Непродовольственные товары, а также продовольственные товары с длительными сроками реализации могут завозиться один раз в семь–десять дней. Количество заказываемых товаров должно полностью обеспечивать устойчивость ассортимента и бесперебойную их продажу до очередного завоза и вместе с тем исключать образование излишних запасов. При определении этого количества учитывают частоту завоза товаров и среднедневную их реализацию, неснижаемые запасы и остатки товаров на день завоза.
Если составляется заявка на завоз товаров сложного ассортимента (готовое платье, обувь и др.), то количество изделий по размерам, расцветкам и другим признакам заказывают с учетом в продаже их удельного веса, выявленного по данным изучения спроса.
Определяя потребность в завозе скоропортящихся товаров, следует также учитывать емкость имеющегося в магазине холодильного оборудования.
Товары-новинки, которыми магазин ранее не торговал и возможная среднедневная реализация которых неизвестна, рекомендуется для начала заказывать небольшими пробными партиями.
Централизованная доставка товаров должна осуществляться по строго установленным графикам, представляющим собой расписание времени отборки и доставки товаров в магазины. В них указывают номера маршрутов, дни завоза, наименования торговых предприятий и их адреса, вид транспорта и часы доставки.
При составлении графиков учитывают размещение розничной торговой сети, объем завозимых товаров и периодичность их завоза, особенности эксплуатации используемого транспорта. Их согласовывают с товарополучателями. Графики завоза товаров тесно связаны с маршрутами централизованной доставки товаров, разрабатываемыми оптовыми базами. Их составление предусматривает более эффективное использование грузоподъемности транспортных средств и кратчайшие пути доставки товаров. Они бывают линейные и кольцевые.
Линейные маршруты используются для доставки товаров за один рейс в один магазин. По кольцевым маршрутам товары завозятся одним рейсом на несколько розничных торговых предприятий.
Маршруты доставки товаров разрабатывают с учетом территориального размещения сети розничных торговых предприятий. С этой целью составляют карту-схему размещения обслуживаемых оптовой базой розничных торговых предприятий и по ней определяют возможные транспортные связи между несколькими населенными пунктами, в которых расположены предприятия розничной торговли. При этом сначала составляют линейные маршруты, а затем формируют кольцевые. Маршруты составляются с учетом обеспечения оптимальных показателей работы транспортных средств.
Оптовые базы, осуществляющие централизованную доставку товаров в розничную торговую сеть, должны правильно определять потребность в транспортных средствах и многооборотной инвентарной таре.
В основу расчетов потребности в транспортных средствах должны быть положены данные об объемах заявок розничных торговых организаций и предприятий, грузоподъемности транспортных средств и среднем количестве рейсов. Потребность в транспортных средствах должна отвечать требованиям безусловного выполнения разработанных оптовой базой графиков и маршрутов централизованной доставки товаров в розничную торговую сеть.
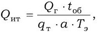
Для определения потребности в отдельных видах инвентарной многооборотной тары может быть использована следующая формула:

где Q ит – потребное количество инвентарной многооборотной тары;
Q г – количество подлежащего доставке груза, т;
t об – время оборота единицы тары, дни
q т – грузовместимость тары, т;
а – коэффициент использования грузовместимости тары;
Т э – время эксплуатации тары в планируемом периоде (с учетом времени нахождения тары в ремонте), дни.
В системе мероприятий, направленных на обеспечение рациональной организации централизованного товароснабжения розничной торговой сети, важная роль принадлежит разработке технологических схем товароснабжения, основанных на применении взаимоувязанных транспортных систем. Так, все более широкое применение находят технологические схемы процесса товародвижения с использованием тары-оборудования. Они предусматривают выполнение следующих основных операций:
• комплектование ассортимента товаров для каждого магазина и укладка их в контейнер;
• зачехление и пломбирование контейнера;
• доставка и передача опломбированных контейнеров и сопроводительных документов в экспедицию оптовой базы;
• группировка контейнеров по принятым маршрутам;
• оформление передачи загруженных контейнеров водителям транспортных средств;
• погрузка и крепление контейнеров в кузове транспортного средства;
• доставка контейнеров с товарами на розничное торговое предприятие;
• выгрузка контейнеров и перемещение их в зону приемки, хранения или в торговый зал магазина;
• оформление сдачи-приемки контейнеров с товарами;
• прием, погрузка и доставка на базу порожних контейнеров.
Внедрение товароснабжения по этой схеме требует соответствующей подготовленности как оптовых предприятий, так и магазинов. В частности, оптовые базы должны располагать необходимым парком колесных контейнеров. Маршруты, в которые включены магазины, снабжаемые по технологической схеме с использованием тары-оборудования, должны обслуживаться автомобилями, оснащенными бортподъемниками. Соответствующим образом должны быть оборудованы места для приемки грузов в магазинах. В последние годы многое сделано для внедрения тары-оборудования для доставки хлеба и хлебобулочных изделий, плодоовощной продукции, бакалейных и других товаров.
Для внедрения передовой технологии транспортирования, хранения и продажи товаров с применением тары-оборудования создаются опорные комплексы на базе предприятий-поставщиков и розничных торговых предприятий. Они создаются по следующим схемам: «оптовая торговая база – торговый зал магазина», «хлебозавод – торговый зал магазина», «овощекартофелехранилище – торговый зал магазина» и «промышленное предприятие – торговый зал магазина».
Использование контейнерной доставки товаров в магазины позволяет существенно сократить численность работников, занятых переноской и перемещением товаров на предприятиях оптовой и розничной торговли, упрощает организацию товароснабжения магазинов и в значительной степени облегчает внутримагазинное перемещение товаров, создает условия для более эффективной эксплуатации автотранспорта и торговой площади магазинов.
Наряду с тарой-оборудованием для доставки товаров в розничную торговую сеть используют специальную многооборотную ящичную и текстильную тару. При этом технологическая схема процесса товароснабжения будет отличаться от приведенной выше.
Для упрощения управления процессом товароснабжения могут быть использованы технологические карты, которые представляют собой детальную разработку важнейших составных элементов централизованной доставки товаров в розничную торговую сеть. В них указывается не только день и время доставки товаров в магазин, но и номер автомашины, обслуживающей маршрут, фамилия водителя, размер партий товара и другие данные.
Успешное функционирование системы товароснабжения розничной торговой сети требует оперативного сбора, обобщения и передачи коммерческим службам информации о состоянии торговли отдельными товарами на каждом розничном торговом предприятии. Оперативное управление товароснабжением розничной торговой сети возлагается на диспетчерскую службу.
Диспетчерская служба обеспечивает постоянную связь с розничной торговой сетью и оптовыми базами, осуществляющими товароснабжение. Она занимается сбором и обобщением информации, поступившей от магазинов, и оперативно передает ее коммерческой службе оптовой базы для принятия необходимого решения о завозе товаров.
Более 800 000 книг и аудиокниг! 📚
Получи 2 месяца Литрес Подписки в подарок и наслаждайся неограниченным чтением
ПОЛУЧИТЬ ПОДАРОК