14.5. Технико-экономические показатели работы складов
Для оценки эффективности использования складов применяется система технико-экономических показателей.
Одним из важнейших показателей, характеризующих работу склада, является оптово-складской товарооборот, который отражает не только общий объем реализации товаров со склада, но и продажу их по отдельным товарным группам.
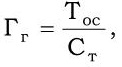
Вторым важным показателем является грузооборот склада, который выражается количеством переработанных тонн (кубических метров и т. д.) груза по отпуску товаров. Годовой грузооборот склада в тоннах рассчитывается по формуле:

где Г г – годовой грузооборот, т;
Т ос – годовой оптово-складской товарооборот, руб.;
С т – средняя стоимость 1 т груза, руб.
Этот показатель служит исходным показателем для расчета себестоимости переработки 1 т груза, для определения производительности труда складских работников.
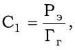
Себестоимость складской переработки 1 т груза можно определить по формуле:

где С 1 – себестоимость переработки 1 т груза, руб.;
Р э – эксплуатационные расходы, связанные с переработкой грузов, руб.;
Г г – годовой грузооборот, т.
При этом эксплуатационные расходы включают затраты на заработную плату работников склада, электроэнергию или топливо, различные вспомогательные материалы, амортизацию и ремонт складских помещений и оборудования, а также расходы, связанные с хранением товаров.
Производительность труда складских работников определяется количеством тонн груза или размером оптово-складского товарооборота, приходящегося на одного работника за какой-либо период времени (год, месяц, смену и т. д.).
Определить эффективность использования складской площади можно при помощи расчета оптово-складского товарооборота на 1 м2 и коэффициента полезной площади склада. Последний определяется по формуле:

где К – коэффициент полезной площади склада;
S пол – полезная (для хранения товаров) площадь склада, м2;
S общ – общая площадь склада, м2.
В зависимости от типа складского помещения, его планировки и других факторов этот показатель может иметь значения от 0,25 до 0,6. Чем выше коэффициент, тем эффективнее используется складская площадь.
Эффективность использования емкости склада можно определить путем расчета коэффициента использования полезного объема склада. Он определяется как отношение объема стеллажей и штабелей с товарами к общему складскому объему. В зависимости от способа хранения товаров и характера груза этот показатель может иметь значения от 0,3 до 0,5. Определить эффективность использования средств, затраченных на строительство склада, можно путем расчета показателей удельных капиталовложений на единицу складской площади, единицу объема, единицу грузооборота и оптово-складского товарооборота. Они рассчитываются как отношение общей суммы капиталовложений на строительство и оснащение склада соответственно к складской площади, емкости склада, объему грузооборота и товарооборота.
Срок окупаемости склада определяется как отношение суммы единовременных капиталовложений к годовой сумме прибыли.
Для определения уровня механизации складских работ можно использовать формулу:

где У м – уровень механизации складских работ, %;
Q м – объем механизированных работ, т;
Q общ – общий объем работ, т.
Применение перечисленных технико-экономических показателей позволяет судить о рациональности использования складского хозяйства и дает возможность выявлять резервы повышения качества и эффективности работы складов.
Более 800 000 книг и аудиокниг! 📚
Получи 2 месяца Литрес Подписки в подарок и наслаждайся неограниченным чтением
ПОЛУЧИТЬ ПОДАРОК