4.3. Основные показатели организации систем городского пассажирского транспорта
Для организации систем городского пассажирского транспорта города важнейшим является соблюдение необходимых пропорций между мощностями отдельных звеньев и элементов транспортной системы и ожидаемыми объемами перевозки пассажиров.
Основными элементами транспортного хозяйства является:
? подвижной состав;
? путевые устройства;
? система энергоснабжения;
? устройства для хранения и ремонта подвижного состава.
В основе расчетов сопряженности отдельных звеньев транспортной системы лежит определение пассажиропотоков по всем видам передвижений в разные периоды дня, суток, сезона и года. Именно величина пассажиропотоков определяет общий характер и объем транспортной работы в городе, а также состав и размеры транспортного хозяйства. При этом рассчитываются следующие показатели.
1. Годовой объем перевозок (Л) определяется по формуле
А = n ? N,
где n – число жителей города, тыс. человек;
N – транспортная подвижность населения, характеризует количество поездок на человека в год.
На величину транспортной подвижности населения оказывают влияние следующие факторы:
? численность населения города;
? размер и форма городской территории;
? планировка города;
? степень развития городского пассажирского транспорта, которая зависит от степени обеспечения города транспортом и определяется количеством предоставленных населению вагоно– или машиномест и качеством запроектированной транспортной сети;
? уровень и состояние организации движения на улицах города.
Транспортная подвижность населения постоянно изменяется по следующими причинами:
? повышение или снижение уровня благосостояния населения и тарифов на услуги городского транспорта;
? увеличение числа поездок с культурно-бытовыми целями;
? концентрация мест приложения труда и т. д.
Для определения показателя подвижности населения используются различные методы (табличные, графические, эмпирические) и критерии (в зависимости от занятости населения, размера и планировки территории города, по балансу времени). При укрупненных расчетах на практике используется следующая формула:
nt = (550 ? ? ? KТР + 1100 ? Кк – б) ? (1 + ?) ? (1 + q) ? ?,
550 – количество передвижений на одного работающего в год (трудовые поездки);
? – доля самодеятельного населения; изменяется в пределах от 0,4 до 0,6;
KТР – коэффициент пользования транспортом с трудовыми целями;
1100 – количество передвижений с культурно-бытовыми целями в год на одного жителя;
Кк – б – коэффициент пользования транспортом с культурно-бытовыми целями;
? – коэффициент пересадочности с маршрута на маршрут или на разные виды транспорта, зависит от удобства планировки транспортной и маршрутной сети города; принимается в пределах от 0 до 0,4;
q – коэффициент, учитывающий приезжающих из пригорода; изменяется в пределах от 0,07 до 0,1;
? – доля пассажиров, обслуживаемых массовым городским пассажирским транспортом в пределах 0,8–0,85 от их общего количества.
Годовой объем работы городского транспорта (Р), определяющий размеры предприятий транспорта, рассчитывается по формуле
Р = А ? lср,
где А — объем перевозок (количество перевезенных пассажиров в год);
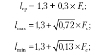
lср – средняя дальность поездки одного пассажира, км; ее величину определяют на основе различного рода обследований пассажиропотоков, но для практических целей наиболее удобным и простым методом расчета дальности поездки является метод по эмпирическим формулам

где Fc — селитебная (площадь города за исключением промышленных, складских, железнодорожных и т. п. территорий) территория города, км2.
Объем пассажиропотоков характеризует распределение пассажирских перевозок по направлениям и участкам транспортной сети города. Пассажиропотоки характеризуются мощностью – количеством пассажиров, проезжающих за определенное время через заданное сечение маршрута в одном направлении.
Средний пассажиропоток (Пт) в городе рассчитывается по формуле
Пт = P: LC,
где Lc — протяженность транспортной сети города, км.
Транспортная сеть города организуется с учетом следующих требований:
? она должна обеспечивать кратчайшие связи между жилыми районами и основными пунктами тяготения пассажиров;
? плотность сети должна быть такой, чтобы обеспечить пеший подход к линии пассажирского транспорта (не более 600–800 м до остановочных пунктов);
? транспортные сети должны проходить по направлению главных пассажирских потоков;
? длина транспортной сети должна соответствовать общему плану города и количеству транспортных средств.
Характерной особенностью городского транспорта, влияющей на его проектирование и организацию эксплуатации и движения по маршрутам города, является неравномерное распределение пассажиропотоков по времени и территории, что создает максимальные и минимальные нагрузки на маршрутную сеть.
Пассажиропотоки в часы пик определяют характер массовых передвижений и являются основой для определения потребности в подвижном составе при решении вопросов о провозной и пропускной способности транспорта и улично-дорожной сети города.
Закономерности изменений пассажиропотоков называются колебаниями. Чем значительнее колебания пассажиропотоков, тем ниже коэффициенты использования транспорта и менее экономична транспортная система города. В будние дни характер колебаний пассажиропотоков определяется в основном временем начала и окончания работы большинства предприятий и организаций города.
Колебания пассажиропотоков по часам суток при расчетах транспортной системы учитывают коэффициентом «пик». С учетом неравномерности пассажиропотоков организуют движение пассажирского транспорта на городских маршрутах, например применяют ступенчатый график выпуска транспортных единиц на линию, который в общем виде повторяет характер графика пассажиропотоков. В соответствии с графиком в часы с минимальным пассажиропотоком часть подвижного состава отстаивается в автобусных и троллейбусных парках и трамвайных депо. Режим работы городского транспорта также должен быть увязан с графиком работы крупных градообразующих предприятий.
Неравномерность пассажиропотоков проявляется не только по часам суток, но и длине транспортной сети, направлениям движения, а также сезонам года и дням недели.
Колебания пассажиропотоков по длине транспортной сети и маршрутам имеют устойчивый характер и зависят от планировки города, от трассировки транспортных линий и других факторов. Для изучения колебаний используются различные методы обследования пассажиропотоков (анкетный, табличный, талонный, визуальный, билетный, опросный, автоматизированный и др.), на основании которых составляется картограмма пассажиропотоков. Картограмма пассажиропотоков представляет собой графическое изображение загрузки пассажиропотоками отдельных участков транспортной сети за определенный период времени и используется при организации движения пассажирского транспорта.
Неравномерность пассажиропотоков по участкам транспортной сети при проектировании и организации маршрутов транспорта учитывается соответствующим коэффициентом, который определяется как отношение максимального потока на определенном участке сети к среднему потоку пассажиров на транспортной сети в целом. Значение этого коэффициента обычно больше в крупных городах в связи с более разветвленной сетью транспорта.
Распределение пассажиров по маршрутам определяется с помощью коэффициента неравномерности наполняемости подвижного состава по длине маршрута, который представляет собой отношение произведения максимального числа пассажиров на длину перегона к общему объему работы транспорта на этом направлении. Коэффициент неравномерности наполняемости используется при организации маршрутной системы города.
Управление организацией пассажирских перевозок в городе со стороны городских властей призвано обеспечить удовлетворение потребностей всех слоев населения с минимальными потерями времени. Поэтому главным комплексным критерием для оценки качества транспортного обслуживания населения города является показатель общих затрат времени (Г, мин) пассажиров на поездку (передвижение). Этот показатель можно определить по следующей формуле:
T = tn1 + tожидан. + tдвиж. + tn2,
где tn1 – время подхода к остановке, мин;
tn2 – время подхода от остановки к пункту назначения, мин.
Величины этих слагаемых непосредственно зависят от плотности транспортной сети города. При равномерно размещенной сети tn1 = tn, тогда:
T = 2tn + tожидан. + tдвиж.,
tожидан. – среднее время ожидания пассажиром транспортного средства; зависит от интервала движения транспорта на маршруте, а также от соблюдения расписания движения;
tдвиж. – среднее время движения пассажира в городском транспорте; зависит от эксплуатационной скорости движения, а также от количества пересадок с маршрута на маршрут, совершаемых пассажиром (коэффициента пересадочности).
Оценка интервала движения производится с учетом следующей классификации, приведенной в табл. 4.2.
Таблица 4.2
Оценка интервала движения

Величина показателя общих затрат времени не должна превышать 1 ч, в противном случае наступает явление «транспортной усталости», которое приводит к резкому снижению производительности труда.
Другие обобщающие показатели работы городского пассажирского транспорта приводятся на рис. 4.3.

Рис. 4.3. Показатели работы городского пассажирского транспорта
В условиях многообразия форм собственности на транспортные средства и конкуренции муниципального и частного пассажирского транспорта основными механизмами регулирования и координации деятельности предприятий транспорта выступают муниципальный заказ на перевозки и диспетчеризация перевозок.
Органы городского управления могут быть также наделены государственными полномочиями по финансированию муниципальных и частных транспортных предприятий и перевозчиков для компенсации перевозки льготных категорий пассажиров, при условии получения соответствующих субвенций из федерального или регионального бюджета.
В системе городского транспорта большинства российских городов накопилось много сложных проблем.
Одной из них является проблема контроля оплаты за проезд. Другой не менее важной проблемой является износ подвижного состава. В большинстве городов России муниципальный пассажирский транспорт изношен практически наполовину. Средств городского бюджета, а также части выручки муниципальных транспортных предприятий не хватает для ремонта подвижного состава, поскольку большая их часть идет на компенсацию проезда льготных категорий населения. Повышение стоимости проезда вызывает лишь отток пассажиров в частные автобусы, в результате чего муниципальный транспорт терпит дополнительные убытки.
Необходима также увязка работы внутригородского и внешнего транспорта. Управление объектами внешнего транспорта (железнодорожные и автовокзалы, речные и морские порты, аэропорты и др.) осуществляется, как правило, государственными предприятиями или крупными акционерными компаниями. Органы городского управления обязаны обеспечить «стыковку» этих объектов с маршрутами внутригородского транспорта, сетью предприятий торговли и общественного питания, другими городскими службами.
Для организации и управления транспортным комплексом города в администрациях большинства крупных городов имеются структурные подразделения, ведающие вопросами городского транспорта. Предпочтительной является схема с единым структурным подразделением, ведающим вопросами пассажирского транспорта и содержания городских дорог.
Перспективной является схема с выделением в отдельную структуру (муниципальное предприятие) службы муниципального заказчика транспортных услуг. В этом случае за структурным подразделением администрации закрепляются вопросы нормативно-правового регулирования транспортной деятельности на территории муниципального образования и финансирования перевозки льготных категорий пассажиров через систему муниципального заказа. Служба заказчика транспортных услуг распределяет объемы перевозок между муниципальными и частными перевозчиками на конкурсной основе, устанавливает графики движения, осуществляет диспетчерский контроль и выполняет другие функции управления транспортным обслуживанием населения:
? принятие правил и порядка организации работы транспорта;
? разработка схемы движения транспорта;
? разработка схемы развития улично-дорожной сети;
? разработка графиков и диспетчеризация движения;
? выдача муниципального заказа на пассажирские и специализированные перевозки и заключение контрактов;
? организация диспетчерской службы;
? установление тарифов на перевозки;
? контроль соблюдения графиков движения;
? контроль экологических параметров работы транспорта (через ГИБДД).
Более 800 000 книг и аудиокниг! 📚
Получи 2 месяца Литрес Подписки в подарок и наслаждайся неограниченным чтением
ПОЛУЧИТЬ ПОДАРОК