2.1. Пространственная инфраструктура поселенческих муниципальных образований
В Российской Федерации в настоящее время государство перестало быть единственным владельцем недвижимости и финансовых ресурсов, произошло изменение функций градостроительной документации в правовых и законодательных аспектах.
Период от второй половины 1990-х гг. и по настоящее время стал временем интенсивного поиска альтернативных подходов к развитию города. Итог этого периода – новый пакет градостроительных документов, основанный на нетрадиционной методологии и понимании функций, статуса, содержания, процедур разработки и механизмов его реализации.
Основным градостроительным документом, регулирующим градостроительную деятельность в городах, определяющим условия безопасности проживания населения, обеспечение необходимых санитарно-гигиенических и экологических требований, рациональное определение границ землепользований, зон жилой, общественной, промышленной застройки, особо охраняемых территорий, зон различной градостроительной ценности, размещение мест приложения труда, развитие инженерно-транспортной инфраструктуры, благоустройство территорий, сохранение историко-культурного наследия и антропогенных ландшафтов, становится Генеральный план развития города, взаимосвязанный логически и методически с другими видами нормативных актов (Градостроительный кодекс, Правила застройки, кадастр объектов недвижимости, Федеральный закон от 23 ноября 1995 г. № 174-ФЗ «Об экологической экспертизе»[7] и пр.).
Первое, что отличает новый Генеральный план от предшествующих, – изменение функции этого документа с декларативной, предоставляющей полную свободу для административных решений, на регулятивную, ставящую государственные органы, органы местного самоуправления, юридических лиц и граждан, участвующих в градостроительной деятельности, в рамки, определяемые стратегическими целями (основными направлениями) развития города.
Генеральный план является основным юридическим документом и утверждается в порядке, установленном Градостроительным кодексом, законами или иными нормативными правовыми актами Российской Федерации и субъектов Федерации.
Поскольку в отличие от своих директивных предшественников новый Генеральный план развития города носит регулятивный характер, обеспечивающий баланс государственных, общественных и частных интересов в новых социально-экономических условиях, то доминирующей функцией Генерального плана развития города является градорегулирование. Заложенные в Генеральный план регулятивные механизмы позволяют адресовать содержащиеся в нем требования конкретным категориям субъектов (участников) градостроительной деятельности, имеющим необходимые полномочия и несущим ответственность за выполнение указанных требований.
Генеральный план развития города является основным документом для создания эффективной системы градорегулирования и грамотного управления городской территорией, осуществляющей территориальное планирование, в том числе для установления функциональных зон, зон планируемого размещения объектов капитального строительства для государственных или муниципальных нужд, зон с особыми условиями использования территорий с определением границ и функционального назначения.
Принципиальной основой Генерального плана является впервые разработанное внутригородское градостроительное зонирование, устанавливающее единые условия использования территории для всех участников градостроительных преобразований в городе. Наряду с современными режимами охраны историко-культурного наследия и территорий природного комплекса города система градостроительного зонирования является регламентирующим инструментом регулирования застройки и землепользования.
Градостроительное зонирование территории – это установление обязательных требований к функциональному использованию, застройке, ландшафтной организации планировочных районов и кварталов всех участков территории города.
Практика зонирования земель отражает, с одной стороны, специфику самого города, с другой – особенности переходного этапа становления системы землепользования в городах России, для которого характерны незавершенность и перманентность процесса правового закрепления границ сложившихся участков и формирования новых земельных участков как объектов недвижимости.
Условия разрешенного использования земельных участков регулируются тремя группами регламентирующих норм:
1) градостроительными нормами и правилами проектирования планировки и застройки города;
2) ограничениями использования территории, установленными линиями градостроительного регулирования;
3) территориальными регламентами, установленными градостроительным зонированием территории города.
Градостроительные нормы и правила проектирования распространяются на вновь формируемую и реконструируемую застройку, устанавливают требования к участкам в зависимости от их функционального назначения и фактически носят экстерриториальный характер.
Основой градостроительного зонирования является сложившаяся архитектурно-пространственная организация территории, закрепленная системой коммуникаций, что в совокупности сформировало существующую планировочную структуру и предопределило предпосылки его развития.
Градостроительное зонирование территории устанавливает:
? функциональное зонирование (территориальные зоны различного функционального назначения);
? строительное зонирование (требования к застройке по высоте и плотности);
? ландшафтное зонирование (типы природных зон, характер их использования).
Функциональное зонирование определяет наиболее целесообразное функциональное назначение территории, занятой участками общественных, жилых, производственных и природных объектов.
Строительное зонирование устанавливает для каждой планировочной единицы предельные доли застроенных территорий, занятых участками малоэтажной (не более 15 м), среднеэтажной (не более 35 м), многоэтажной застройки (более 35 м) и совокупную плотность застройки.
Ландшафтное зонирование устанавливает в каждой планировочной единице предельные доли участков естественных открытых поверхностей (растительность, водные поверхности), искусственных покрытий (открытых замощенных поверхностей) и территории, занятой зданиями и сооружениями.
Каждый планировочный район города может быть информационно представлен как совокупность трех взаимодополняющих характеристик: функциональной, строительной, ландшафтной.
Для каждого из планировочных районов установлены типы функционального, строительного и ландшафтного назначения, которые обязательны для всех видов градостроительной, исходно-разрешительной, проектной документации, для принятия решений в области градостроительной деятельности органами власти города и местного самоуправления. Схемы и планы градостроительного зонирования, разрабатываемые в районах и т. д., детализирующие генеральные схемы, не могут противоречить установленным требованиям функционального, строительного, ландшафтного назначения территории планировочных районов.
Зоны функционального назначения территории планировочных районов включают в себя соответствующие типы территории города:
? специализированного общественного назначения;
? специализированного природного назначения и территории водных поверхностей;
? смешанных природных с общественными, жилыми, производственными типами назначения;
? смешанных общественных, жилых, производственных типов назначения;
? специализированного жилого назначения;
? специализированного производственного назначения и территории внешнего транспорта;
? территории улично-дорожной сети.
Зоны строительного назначения территории планировочных районов содержат:
? по плотности застройки территории:
– высокоплотных типов застройки,
– среднеплотных типов застройки,
– низкоплотных типов застройки,
– незастраиваемые;
? по высотности застройки территории с застройкой:
– выше 35 м и с повышенной высотностью,
– контрастной высотности,
– высотой не более 35 м и с пониженной высотностью,
– высотой не более 15 м.
Зоны ландшафтного назначения территории планировочных районов содержат:
? территории с относительным преобладанием поверхностей земли, занятых растительным покровом, и водных поверхностей;
? территории с относительным преобладанием поверхностей земли, занятых застройкой;
? территории с относительным преобладанием поверхностей земли, занятых незастроенными искусственными покрытиями.
Характеристики могут быть представлены в качественных и количественных оценках и показателях. На основе этих количественных показателей можно вывести несколько типов функциональных зон, несколько типов строительного зонирования территории, а также несколько типов ландшафтного зонирования. Анализ совокупности всех количественных и качественных характеристик каждого планировочного района позволяет определить для него варианты наиболее оптимального режима градостроительного развития и четко сформулировать градостроительные запреты и ограничения.
Таким образом, градостроительное зонирование территории является наиболее верным направлением к раскрытию целесообразных приемов реконструкции, застройки, развития, использования ценной и ограниченной в пространстве территории города.
На карте градостроительного зонирования устанавливаются границы территориальных зон. Границы территориальных зон должны отвечать требованию принадлежности каждого земельного участка только к одной территориальной зоне. Формирование одного земельного участка из нескольких, расположенных в различных территориальных зонах, не допускается. Территориальные зоны, как правило, включают несколько земельных участков.
Территориальные зоны включают в себя территории нескольких функциональных назначений, а также общего пользования, занятые площадями, улицами, проездами, дорогами, набережными, скверами, бульварами, водоемами и другими объектами. Территории общего пользования предназначены для удовлетворения общественных интересов населения. Порядок использования территорий общего пользования определяется органами местного самоуправления.
Градостроительное зонирование на карте выполняют также с помощью следующих линий градостроительного регулирования:
? красные линии:
– линии улично-дорожной сети,
– линии жилой застройки;
? синие линии:
– границы акватории рек,
– границы полосы отвода железных дорог,
– границы технических зон проектируемых линий метрополитена,
– границы технических (охранных) зон инженерных сооружений коммуникаций,
– границы территорий памятников истории и культуры,
– границы охранных зон памятников истории и культуры,
– границы историко-культурных заповедных территорий,
– границы зон регулирования застройки памятников истории и культуры,
– границы зон охраняемого ландшафта,
– границы особо охраняемых природных территорий,
– границы охранных зон особо охраняемых охранных территорий,
– границы территорий природного комплекса, не являющихся особо охраняемыми,
– границы озелененных территорий, не входящих в природный комплекс города,
– границы водоохранных зон,
– границы прибрежных зон,
– границы санитарной охраны источников питьевого водоснабжения – границы 1-го пояса санитарной охраны, границы 2-го пояса санитарной охраны, границы жесткой зоны 2-го пояса санитарной охраны,
– границы санитарно-защитных зон.
Основой городской структуры, определяющей транспортную схему и внешний облик города, является планировочная структура, выраженная во взаимном расположении основных функциональных зон и системах связи между ними. Функциональное зонирование в этом случае рассматривается как процесс и результат выделения частей территории города с определенными видами и ограничениями их использования, функциональными назначениями, параметрами использования и изменения земельных участков и других объектов недвижимости при осуществлении градостроительной деятельности.
Полная совокупность условий разрешенного использования включает:
? виды разрешенного использования с учетом ограничений специальных режимов;
? предельные параметры разрешенного использования, включая требования норм и правил планировки и застройки и ограничения специальных режимов.
Главной целью функционального зонирования территории города является поддержание баланса интересов распоряжающихся и пользующихся этой территорией граждан, местных сообществ и организаций.
Функциональное зонирование современного исторически сложившегося города многогранно, особенно в его центральной части, где расположено огромное количество объектов различного назначения в непосредственной близости друг от друга. В таких городах следует бережно относиться к сложившейся планировочной структуре, сохранять архитектурный и градостроительный облик, осуществлять комплексную реконструкцию и реставрацию памятников истории и культуры.
Функциональное зонирование по назначению отражено в государственном градостроительном кадастре города в соответствии с СП-14-101-96 «Примерное положение о службе градостроительного кадастра субъекта Российской Федерации, города (района)». Служба государственного градостроительного кадастра подразделяет территорию города по следующим функциональным зонам:
? специализированного назначения – административно-делового, учебно-образовательного, культурно-просветительского, торгово-бытового, лечебно-оздоровительного, спортивно-рекреационного, учебно-воспитательного, индивидуальной жилой застройки, многоквартирной жилой застройки, коммунально-складского, промышленного, специального, жилищно-коммунального, природно-рекреационного, природоохранительного;
? смешанного назначения – общественного, жилого, производственного, природного, общественно-жилого, общественно-производственного, производственно-жилого, общественно-производственно-жилого, природно-общественного, природно-жилого, природно-производственного, природно-общественно-жилого, природно-общественно-производственного, природно-производственно-жилого.
Территории инфраструктуры подразделяют на территории улиц и дорог, территории внешнего транспорта и водные поверхности.
С учетом преимущественного функционального использования территория города условно подразделяется на селитебную, производственную, ландшафтно-рекреационную.
Селитебная территория предназначена для размещения жилищного фонда, общественных зданий и сооружений, в том числе научно-исследовательских институтов и их комплексов, а также отдельных коммунальных и промышленных объектов, не требующих устройства санитарно-защитных зон; для устройства путей внутригородского сообщения, улиц, площадей, парков, садов, бульваров и других мест общего пользования.
Производственная территория предназначена для размещения промышленных предприятий и связанных с ними объектов, комплексов научных учреждений с их опытными производствами, коммунально-складских объектов, сооружений внешнего транспорта, путей внегородского и пригородного сообщений.
Ландшафтно – рекреационная территория включает в себя городские леса, лесопарки, лесозащитные зоны, водоемы, а также парки, скверы, бульвары, располагаемые на селитебной территории и композиционно связанные с открытыми озелененными пространствами.
В пределах указанных территорий выделяются зоны различного функционального назначения: жилой застройки, общественных центров, промышленные, научные и научно-производственные, коммунально-складские, внешнего транспорта, массового отдыха, курортные (в городах и поселках, имеющих лечебные ресурсы), охраняемых ландшафтов.
При соблюдении санитарно-гигиенических и других требований к совместному размещению объектов разного функционального назначения допускается создание многофункциональных зон.
Границы зон различного функционального назначения определяются с учетом красных линий, естественных границ природных объектов, границ земельных участков и иных границ.
При функциональном зонировании (основные функции указаны в скобках) территории сверхкрупного, крупнейшего, крупного, большого, среднего города подразделяют на зоны:
? городского центра (межселенное и общегородское социальнокультурное обслуживание, административное и хозяйственное управление, кредитно-финансовая, научная, проектная, образовательная и общественная деятельность);
? жилые (проживание населения);
? производственные (промышленное и опытное производство);
? научно-образовательные (научные исследования, специальное образование);
? инженерных и транспортных инфраструктур (инженерное и транспортное обслуживание города);
? внешнего транспорта и внешних инженерных коммуникаций (обслуживание внешних пассажирских и грузовых перевозок, обслуживание внешних транспортных и инженерных коммуникаций);
? рекреационные (рекреационная деятельность и ее обслуживание);
? охраны среды (восстановление и сохранение территорий и объектов особо ценной природной и историко-культурной среды);
? специального назначения (обслуживание специфических государственных и городских функций).
При выделении зон на территории малого городского поселения, а также зон и подзон на территории части сверхкрупного, крупнейшего, крупного, большого, среднего города следует руководствоваться примерным перечнем видов зон (подзон):
? зоны городского центра или центра городского района (межселенное и общегородское или районное социально-культурное обслуживание, административное и хозяйственное управление, кредитно-финансовая, общественная деятельность);
? жилые зоны с основными функциями:
– проживание населения,
– проживание населения в сочетании с ведением индивидуального подсобного хозяйства или с отдыхом;
? зоны промышленного производства с основной функцией:
– промышленное и опытное производство (или добыча и обогащение полезных ископаемых) высокой санитарной вредности, большой водоемкости, энергоемкости, грузоемкости, потребности в трудовых ресурсах по действующей классификации,
– промышленное и опытное производство (или добыча и обогащение полезных ископаемых) средней санитарной вредности, экологической опасности, средней водоемкости, энергоемкости, большой и средней грузоемкости, потребности в трудовых ресурсах по действующей классификации,
– промышленное и опытное производство, совместимое с проживанием населения;
? зоны сельскохозяйственного производства с основной функцией:
– интенсивное животноводство низкой и средней санитарной вредности,
– интенсивное садоводство и овощеводство;
? научно-образовательные зоны с основными функциями:
– научные исследования,
– высшее образование, научные исследования,
– специальное образование;
? зоны внешнего транспорта и внешних инженерных коммуникаций:
– железнодорожного транспорта (обслуживание внешних пассажирских и грузовых, перевозок; обслуживание узлов и коммуникаций внешнего железнодорожного транспорта),
– речного или морского порта (обслуживание речных (морских) внешних пассажирских и грузовых перевозок; обслуживание сооружений и судов речного (морского) транспорта),
– аэропорта (обслуживание воздушных пассажирских и грузовых перевозок; обслуживание сооружений и судов воздушного транспорта),
– внешнего и скоростного городского автотранспорта (обслуживание внешних и скоростных пассажирских и грузовых связей с пригородами и между районами города);
? внешних инженерных коммуникаций с основной функцией:
– обслуживание трубопроводов,
– обслуживание ЛЭП,
– обслуживание линий связи;
? рекреационные зоны с основными функциями:
– отдых в стационарных рекреационных учреждениях (лечение, оздоровление, спорт, туризм в стационарных учреждениях), их обслуживание,
– массовый кратковременный отдых вне стационарных рекреационных учреждений (оздоровление, спорт, туризм), их обслуживание;
? зоны охраны среды:
– природоохранные зоны (восстановление и охрана природных ландшафтов, городских парков, береговых линий и др.),
– историко-культурные заповедные зоны (восстановление и охрана ансамблей и комплексов памятников истории и культуры, исторических центров, парков, садов, бульваров, культурных слоев древних городов);
? зоны специального назначения с основными функциями:
– военных городков, полигонов, пенитенциарных учреждений и т. п.,
– мест захоронений,
– объектов коммунального хозяйства со специальными инженерными сооружениями высокой и средней санитарной вредности,
– мест складирования и хранения энергоносителей, химикатов и других товаров высокой взрывопожарности и санитарной вредности,
– обслуживание бытовых нужд населения, хранение и обслуживание средств городского транспорта, складирование и хранение товаров средней и низкой взрывопожароопасности и санитарной вредности.
Определенные в генеральном плане зоны различного функционального назначения и ограничения на использование территорий указанных зон являются основой для разработки правил землепользования и застройки, устанавливающих градостроительные регламенты для каждой территориальной зоны.
В процессе разработки генплана города задача функционального зонирования может и должна решаться неоднократно, в разном контексте. В самом деле, задача функционального зонирования решается во взаимодействии с проектированием других проектных подсистем – улично-дорожной сети и транспорта, инженерных сетей, системы коллективной безопасности общества. Это взаимодействие носит итерационный, циклический характер: после первичного взаимоувязанного решения по подсистемам осуществляется вторичное, уточненное их решение, далее еще более уточненное и взаимно пригнанное решение до тех пор, пока не достигается требуемый уровень взаимной увязки.
К числу факторов, существенно влияющих на функциональное зонирование территории с точки зрения различных видов функционального использования, относятся:
? коммуникационные факторы, связанные с затратами времени людей на передвижения в городе и затратами на пассажиро– и грузоперевозки;
? локализационные факторы, связанные с удорожанием строительства и рисками в зависимости от рельефа и инженерно-геологических характеристик территории;
? экологические факторы, связанные с ущербом реципиентам, нанесенным воздушно-газовым и пылевым, шумовым загрязнением, магнитным излучением, загрязненностью почв;
? инфраструктурные факторы, связанные с учетом инженерной и транспортной обеспеченности различных городских территорий;
? эстетические, природно-ландшафтные, историко-культурные, социальные факторы.
К числу коммуникационных факторов, или факторов транспортной доступности, относятся все факторы, характеризующие функционально-планировочную структуру города:
? все элементы физической географии, ландшафта и функционального использования территории, которые представляют собой физические преграды, препятствия для транспортных сообщений – крупные реки и другие водные поверхности, леса, парки, полосы отвода железных дорог, территории крупных промышленных предприятий, территории аэропортов и т. д.;
? существующее функциональное использование территории, определяющее коммуникационные взаимодействия между функциями в реальном городском пространстве;
? классифицированная улично-дорожная сеть, транспортные узлы, мосты и путепроводы, а также сеть внеуличного транспорта (метрополитен и железные дороги пригородных сообщений, где они есть) – пути сообщения между городскими территориями;
? система общественного транспорта – совокупность маршрутов всех видов наземного и внеуличного общественного транспорта с их частотными и скоростными характеристиками;
? уровень автомобилизации населения в целом и по социальным группам.
К числу локализационных факторов относятся:
? рельеф (уклоны в процентах);
? несущая способность грунтов;
? гидрогеология – уровень залегания грунтовых вод и ареалы подтопления и паводкового затопления;
? карстовые явления;
? сейсмика и т. д.
В каждом конкретном городе список существенных локализационных факторов индивидуален. К числу локализационных относится и фактор наличия в городской черте территорий, используемых под сельскохозяйственные нужды или под ветхое жилье, предназначенное к сносу. Использование таких территорий под базовые функции связано с затратами на отчуждение и компенсации.
Экологические факторы представляются двояко: картой суммарных индексов загрязнений и прямыми взаимодействиями с источниками загрязнений, которыми обычно являются промышленные предприятия, ТЭЦ, источники магнитных излучений, взлетно-посадочные коридоры аэропортов и т. д.; ущерб от источника загрязнений тем меньше, чем дальше от источника находится функция-реципиент.
Инфраструктурные факторы также представляются двояко.
Во-первых, уровнем обеспеченности городских территорий инженерными сетями различных видов и улично-дорожной сетью с жестким покрытием. В уровень обеспеченности входит как сам факт наличия сетей того или иного вида, так и их состояние (степень износа).
Во-вторых, суммарной величиной предшествующих вложений в инженерную и транспортную инфраструктуру города, определяющих уровень ее развития в целом.
Эстетические, природно-ландшафтные, историко-культурные, социальные факторы весьма разнообразны и индивидуальны в каждой проектной ситуации. Инструментально они могут представляться как локализационные, коммуникационные или буферные факторы. Так, тяготение городского центра или коттеджной застройки к привлекательным природно-ландшафтным территориям может носить либо локализационный, либо коммуникационный характер; нежелательность социальных контактов детского центра с футбольным стадионом или крематорием можно представить в виде буферных отношений и т. д.
Формирование функциональных зон и размещение на них объектов регламентируется МДС-30-1.99 и СНиП 2.07.01–89.
Строительным зонированием называется разделение селитебной территории города на зоны с различной этажностью застройки. Целью строительного зонирования является:
? выбор наиболее целесообразных в условиях данного города в целом и для отдельных его районов типов жилой застройки по этажности и характеру с установлением удельного соотношения ее основных типов в процентах от общего количества квадратных метров жилой площади;
? правильное размещение основных типов застройки на территории города с учетом рельефных и инженерно-геологических условий, наиболее экономичного использования территории, как при новом строительстве, так и при реконструкции жилых районов;
? нахождение наиболее интересных в архитектурном отношении решений важных элементов города с эффективным использованием природных условий – рельефа, водоемов, зеленых насаждений. К таким элементам относятся: общегородской и районные центры, основные магистрали города, площади, набережные, въезды в город и т. п.
Все эти задачи рассматриваются и решаются в планировке города комплексно, так как только при таком методе проектирования можно найти действительно целесообразное решение.
Строительное зонирование определяет различные параметры этажности и плотности в пределах выделенных зон. Исходя из этого строительное зонирование устанавливает и фиксирует тип застройки, характеризуемый плотностью застройки, высотой зданий и сооружений в пределах определенной территории, и предусматривает изменения характера застройки планировочного района (микрорайона, квартала, участка территории).
При проектировании жилой застройки на территории жилых районов, микрорайонов, кварталов, жилых групп обосновывается тип застройки, отвечающий предпочтительным условиям развития этой территории и режимам градостроительной деятельности, связанным с зонами особого градостроительного и специального регулирования, условиями организации строительства и строительной базы, ландшафтами, историко-архитектурными условиями и иными требованиями.
Устанавливаются типы строительного назначения планировочных районов с разной плотностью застройки и с разными комбинациями составляющих их участков разных типов высоты застройки. Их обозначения представлены в табл. 2.1.
Таблица 2.1
Типы строительного назначения планировочных районов

Планировочный район относится к одному из указанных выше типов, если:
? плотность застройки территории планировочного района соответствует показателям типов низкоплотной (I), среднеплотной (II), высокоплотной (III) застройки;
? более одной трети площади всех застраиваемых участков территории в границах планировочного района занимают участки каждого из типов высоты застройки, обозначенных в табл. 2.1 буквами, а участки каждого из остальных типов высоты застройки занимают менее одной трети площади всех застраиваемых участков территории в границах планировочного района.
Этажность жилой застройки определяется на основе технико-экономических расчетов с учетом архитектурно-композиционных, социально-бытовых, гигиенических, демографических требований, особенностей социальной базы и уровня инженерного оборудования.
В городах основными типами жилой застройки являются: многоквартирная многоэтажная (5 этажей и более); многоквартирная средней этажности (2–4 этажа); малоэтажная с участками при квартирах, в том числе блокированная; усадебная.
В конкретных градостроительных условиях, особенно при реконструкции, допускается смешанная по типам застройка. Предельно допустимые размеры приусадебных земельных участков устанавливаются органами местного самоуправления.
Границы, размеры и режим использования территории участков при многоквартирных жилых домах, находящихся в общей совместной собственности членов товарищества – собственников жилых помещений в многоквартирных домах (кондоминиумах), определяются градостроительной документацией о застройке с учетом законодательства и правовых актов муниципальных образований.
Строительное назначение участка устанавливает предельные доли застроенных поверхностей участка, занятых зданиями и сооружениями (или их частями) различной этажности (высотности), и соответственно общий объем или плотность застройки.
Параметры типов строительного назначения участков территории по плотности застройки и их обозначения устанавливаются в соответствии с региональными территориальными строительными нормами и ориентировочно, в качестве примера, могут быть классифицированы следующим образом:
? низкоплотной застройки (I) с допустимой плотностью застройки не более 5 тыс. м2/га;
? среднеплотной застройки (II) с допустимой плотностью застройки не менее 5 и не более 10 тыс. м2/га;
? высокоплотной застройки (III) с плотностью застройки более 10 тыс. м2/га.
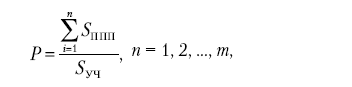
Плотность застройки определяется как отношение общей площади поэтажных планов зданий, сооружений, расположенных на участке территории, к площади участка.
(2.1)
где Р — плотность застройки, тыс. м2/га;
SППП – площадь поэтажных планов здания, сооружения, расположенного на участке территории, тыс. м2;
SУЧ – площадь участка территории, га;
n – количество зданий, сооружений, расположенных на участке территории.
Устанавливаются следующие типы строительного назначения участков территории по высоте застройки:
? не более 15 м (А);
? не более 35 м (Б);
? более 35 м (В).
Высота застройки участка определяется высотой основного объема наиболее высокого здания или сооружения, расположенного на участке, а в случае, когда основной объем такого здания или сооружения не выявлен, – его максимальной высотой.
Размещение зданий и сооружений технического и вспомогательного назначения (трансформаторные и распределительные подстанции, тепловые пункты, насосные и пр.) должно быть компактным и не выходить на линию застройки улиц и магистралей. Подъезды к группам технических сооружений должны предусматриваться с внутриквартальных проездов.
При реконструкции районов сложившейся жилой застройки необходим дифференцированный подход к выбору режима реконструкции в зависимости от типа района (центральные исторически сложившиеся районы, районы массовой типовой застройки 60–70 гг. XX в., сложившиеся районы индивидуальной усадебной застройки), размера жилых зон с учетом рекомендуемых требований.
На территориях с ценной исторической застройкой следует применять режим ограниченной (восстановительной и щадящей) реконструкции:
? в режиме «восстановление» предусматриваются ремонт, модернизация, регенерация фрагментов, не допускаются снос, нарушение стилевого единства существующей застройки, изменение функционального назначения территории, изменение характера землепользования;
? в режиме «щадящей» реконструкции допускается выборочный снос отдельных существующих зданий, не представляющих исторической ценности, для последующего строительства жилых зданий и объектов обслуживания, предусматриваются реконструкция и модернизация существующих зданий (перепланировка, надстройка этажей, мансард, пристройка секций), комплексное благоустройство.
Тип, этажность и допустимая плотность жилой застройки в исторических районах определяются местными правилами застройки или проектом на базе историко-градостроительных обоснований, устанавливающих закономерности, в том числе морфологические, развития исторического города, историко-культурные традиции, высотные ограничения, требования и рекомендации к реконструкции застройки.
Проекты планировки и застройки в границах исторической части города и в зонах охраны памятников истории и культуры за пределами исторического города не должны нарушать типов застройки, сложившихся в результате развития городской среды, – морфотипов исторической застройки.
К морфотипам застройки, представляющим историко-культурную ценность, относятся следующие:
? старогородской малоэтажный разреженный, составляющий область наиболее древней, в том числе усадебной, застройки первой половины XIX в.;
? традиционный разноэтажный, являющийся зоной расположения основного массива исторической застройки второй половины XIX в., с включениями застройки начала XX в.;
? периметрально-компактный, являющийся областью концентрации интенсивной застройки конца XIX – начала XX вв.;
? конструктивизм 1920–1930 гг.; неоклассицизм 1940–1950 гг.;
? контрастноэтажный, являющийся зоной распространения смешанной многоэтажной разреженной застройки и фрагментов исторической застройки.
В целях сохранения традиционной пространственной организации морфотипов застройки, представляющих историко-культурную ценность, нормируются следующие градостроительные характеристики:
высотность: средняя этажность застройки в квартале, характер уличного фронта;
соотношение открытых и застроенных пространств в квартале: процент застроенности, плотность застройки;
максимальные габариты зданий в квартале: высота (в этажах), длина (в метрах);
линия застройки квартала: процент интервалов между домами, характер архитектурного оформления интервала, ориентация уличных фасадов зданий относительно линии застройки;
внутриквартальная планировка: устойчивая форма участков (дворов), наибольший размер стороны участка (двора).
Для кварталов с сохранностью исторической застройки более чем на 75 % от площади пятна подошвы всей застройки квартала допускается изменение одного из показателей (процента застроенности или средней этажности) не более чем на 5 % или на 0,5 этажа или обоих показателей с условием изменения показателя плотности застройки не более чем на 25 % для периметрально-компактного морфотипа – в направлении увеличения; для старомосковского малоэтажного разреженного – в направлении сокращения; для традиционного разноэтажного – в любом направлении.
При проектировании на территориях, освоенных застройкой 1920—1930-х гг. (помимо сохраняемых оригинальных объемных композиций), допускается увеличение плотности застройки не более чем на 10 %.
При проектировании на территориях, освоенных застройкой 1940—1950-х гг., допускается применять локальные встройки на внутриквартальных территориях с соблюдением принципа регулярности планировки и увеличением плотности застройки не более чем на 10 %.
Конкретные планировочно-пространственные параметры застройки участков, входящих в границы какого-либо морфотипа, но не являющихся территорией памятника истории и культуры, устанавливаются в рамках диапазона показателей морфотипа – регламентом градостроительной деятельности, разрабатываемым в особом порядке по согласованию с Управлением охраны памятников.
В районах, подверженных действию опасных и катастрофических природных явлений (землетрясения, цунами, сели, наводнения, оползни и обвалы), зонирование территории поселений проводится с учетом уменьшения степени риска и обеспечения устойчивости функционирования. В зонах с наибольшей степенью риска следует размещать парки, сады, открытые спортивные площадки и другие свободные от застройки элементы.
Для городов, расположенных в районах сейсмичностью 7–9 баллов, как правило, следует применять одно-, двухсекционные жилые здания высотой не более 4 этажей, а также малоэтажную застройку с приусадебными и приквартирными участками. Размещение и этажность жилых и общественных зданий необходимо предусматривать с учетом требований СНиП П-7-81 и СН 429-71.
В районах со сложными инженерно-геологическими условиями под застройку необходимо использовать участки, требующие меньших затрат на инженерную подготовку, строительство и эксплуатацию зданий и сооружений, в частности индивидуальное строительство.
Размещение индивидуального строительства в городах следует предусматривать:
? в пределах городской черты – преимущественно на свободных территориях, включая территории, ранее считавшиеся не пригодными для строительства, а также на территориях реконструируемой застройки (на участках существующей индивидуальной усадебной застройки, в районах безусадебной застройки при ее уплотнении и в целях сохранения характера сложившейся городской среды);
? на территориях пригородных зон – на резервных территориях, включаемых в городскую черту; в новых и развивающихся поселках, расположенных в пределах транспортной доступности города 30–40 минут.
Районы индивидуальной усадебной застройки в городах не следует размещать на главных направлениях развития многоэтажного строительства на перспективу. В районах индивидуальной застройки следует предусматривать озеленение, благоустройство и инженерное оборудование территории, размещение учреждений и предприятий обслуживания повседневного пользования.
Ландшафтное зонирование представляет собой оценку больших по площади территорий и отдельных ее элементов методом ландшафтного анализа на стадии предпроектного исследования (например, зеленых насаждений, рельефа местности, экспозиции склонов, наличия видовых точек, выявления потенциальных возможностей по обогащению пейзажа). Ландшафтное зонирование устанавливает в каждой планировочной единице предельные доли участков естественных открытых поверхностей, открытых замощенных поверхностей и территории, занятой зданиями и сооружениями.
Одной из задач, решаемых при ландшафтном зонировании территории, является изучение техногенного воздействия, оказываемого объектами городской инфраструктуры на природный комплекс.
Проявления подобных воздействий чрезвычайно разнообразны по характеру, масштабам, интенсивности и времени существования. Они могут затрагивать лишь отдельные составляющие природного комплекса или же, наоборот, сказываться на всех его компонентах. Важно отметить, что при воздействии на один из компонентов природного комплекса кажущаяся инертность остальных компонентов в действительности объясняется относительной устойчивостью и резистентностью экосистем.
К сожалению, в настоящее время отсутствуют методические основы для таких важнейших процедур, как территориальный анализ природных условий при выборе альтернативных вариантов размещения жилых и промышленных объектов. Все это приводит к слабой систематизации и стандартизации представлений о состоянии окружающей среды как в целом по стране, так и в конкретных регионах, районах и городах.
Подходы ландшафтного планирования, затрагивающие проблемы взаимоотношения общества и природы на разных масштабных уровнях и в различных территориальных аспектах, конкретно рассматривают локальные (частные) вопросы и в наибольшей степени способствуют реализации поставленных общих задач.
Основной тенденцией ландшафтной реорганизации города является сбалансированное увеличение доли природных и озелененных территорий:
? в срединной зоне – за счет реконструкции и комплексного благоустройства слабоозелененной и неблагоустроенной застройки;
? на присоединенных городских территориях – за счет завершения нового строительства.
Ландшафтное зонирование осуществляется с учетом существующих нормативно-правовых экологических ограничений федерального и регионального законодательства.
Информационной основой работы служат литературные, фондовые и статистические материалы различных ведомств о состоянии природной среды, материалы первичных изысканий под строительство городских объектов, материалы комплексных исследований, проведенные на окружающей город территории, а также проводимые дополнительные комплексные экологические обследования по выявлению состояния природной среды как города, так и его окружения.
При проведении зонирования учитывается реальное использование территории: ее промышленно-селитебная и санитарно-защитная инфраструктура с перспективами социально-экономического развития. Оценка состояния территории ведется по комплексным характеристикам с описанием характера рельефа, почв, растительности, увлажнения, анализа состояния поверхностных и подземных вод, атмосферного воздуха. На основании полученных данных осуществляется оценка возможного проявления опасных экзогенных процессов.
Такая работа складывается из следующих стадий:
? комплексные экологические изыскания, сбор и систематизация имеющейся информации по территории, подготовка основ, классификаций характеристик частных сред, разработка легенд тематических карт и их авторских оригиналов;
? экологическое зонирование территории для отдельных природных сред (растительность, почвы с подстилающим субстратом, поверхностные и подземные воды, атмосферный воздух, комплексное экологическое зонирование);
? определение целей развития для выделенных экологических зон, рекомендации по природоохранным мероприятиям.
Методы и результаты ландшафтного зонирования, использующиеся при оценке воздействия на окружающую среду, могут стать основой для решения следующих задач:
? выбор места размещения объекта и сравнительная оценка различных вариантов размещения;
? сравнительная интегральная оценка конкретного вида воздействия (или последствий реализации проектных решений в целом) на отдельные (или все) компоненты природной среды;
? сравнительная оценка результатов эксплуатации объекта в течение различных интервалов времени;
? создание единой сетевой структуры частично застроенных и частично урбанизированных ландшафтов – специфического «буферного» слоя полуоткрытых пространств, снижающих техногенное воздействие зон городской активности на природные территории.
Развитие ландшафтного зонирования предусматривает воссоздание исторических природных элементов, таких, как лесные массивы, долины малых рек и формирование новых зеленых пространств. Архитектурно-пространственная организация ландшафтного зонирования направлена на сохранение, выявление, зрительное раскрытие и акцентирование исторически характерных панорам, садово-парковых комплексов и всего силуэта города.
Урбанистический подход характеризуется наиболее высокой интенсивностью деятельности и использования территории. Его развитие предусматривает совершенствование исторически сложившейся планировочной структуры города, усиление роли исторического центра как национального культурного и общественного символа, акцентирование главных транспортных связей и узлов системой крупных общественно-деловых центров и линейных примагистральных многофункциональных комплексов, формирование новых и завершение существующих элементов главных магистралей.
Архитектурно-пространственная организация урбанизированного подхода направлена на зрительное акцентирование его характерных элементов (ансамблей площадей и крупных градостроительных комплексов, высотных доминант), фронтальной застройки главных общественных улиц, выявление контрастного силуэта города.
В местах контакта ландшафтных и строительных зон обязательно необходимо предусматривать развитие существующих и создание новых общественных рекреационных, спортивных, досуговых комплексов, формирование архитектурно-пространственных, ландшафтных, садово-парковых ансамблей и композиций, основанных на принципах контраста, взаимодействия и взаимопроникновения.
При решении этих задач следует различать подходы для территорий, где ландшафтное зонирование:
? выполнялось (ландшафтная программа, рамочный ландшафтный план, ландшафтный план крупного масштаба);
? не выполнялось.
Разработка и наличие крупномасштабных планов (картматериалов) ландшафтных зон существенно облегчает задачу выбора места размещения объекта. В этом случае исходный вариант размещения объекта (площадка или трасса линейного сооружения) выбирается в зоне преимущественного развития и использования территории по карте интегрированных целей территориального развития или карте основных направлений действий и мероприятий, если рассматриваемый вид деятельности предусматривался ландшафтным зонированием.
При отсутствии плана ландшафтного зонирования для территории, где предполагается реализация строительного проекта, используются методические приемы, принятые в ландшафтном зонировании для обобщения и сравнения разнородной информации о различных природных компонентах и сравнительной оценки территории. При этом технология выбора места размещения объекта строительства предусматривает выполнение следующих этапов:
? определение участков для выбора вариантов размещения строительной площадки;
? определение списка природных и социальных компонентов, для которых следует выполнить оценку размещения;
? оценка участков для каждого природного компонента;
? определение вариантов размещения в пределах участков;
? сравнение вариантов и выбор наиболее оптимального предлагаемого для реализации проекта.
Применение технологии выбора места размещения объекта строительства с использованием методических приемов, предусматривающих выполнение вышеперечисленных этапов, подразумевает, что под участками понимаются те, для которых:
? режим использования не ограничивается существующими законодательными и нормативными документами относительно планируемого вида использования;
? существующее использование не противоречит планируемому виду использования или может быть совмещено с ним на основе компромиссов и компенсаций.
Основное внимание при оценке значимости ландшафтов обращается на их своеобразие и многообразие, уникальность (наличие редких геологических формаций, видов растении и животных, экзотические формы рельефа и т. д.), пейзажную привлекательность, комфортность. Индикаторами чувствительности служат границы вместимости ландшафта, наличие или отсутствие неорганизованного отдыха, климатические ограничения, факторы риска, устойчивость и динамические категории ландшафтов.
Более 800 000 книг и аудиокниг! 📚
Получи 2 месяца Литрес Подписки в подарок и наслаждайся неограниченным чтением
ПОЛУЧИТЬ ПОДАРОК