Простые комплементарные трансакции
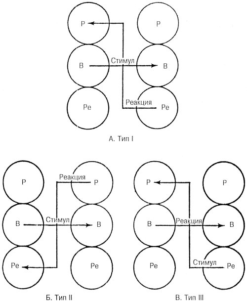
Цель трансакционного анализа – выяснение того, какое именно состояние Эго дает трансакционный стимул и трансакционную реакцию в любой из исследуемых трансакций. Всякий, кто собирается иметь дело с больными группами, должен быть знаком с этой процедурой. Простая трансакция представлена чертежом двух структурных диаграмм, расположенных рядом друг с другом, одной для агента, другой для респондента, как на рисунках 22 и 23. Затем чертится стрелка от активного состояния Эго агента к тому аспекту респондента, к которому адресуется агент. Эта стрелка представляет трансакционный стимул. Другая стрелка чертится от респондента к агенту и представляет трансакционную реакцию. Такая диаграмма называется трансакционной, а две стрелки – векторами.
Чтобы групповая работа во всех своих аспектах проходила гладко, коммуникация между членами не должна встречать помех. Так происходит до тех пор, пока трансакции комплементарны. Комплементарной называется трансакция, векторы которой параллельны. Чаще всего это трансакции типа Взрослый – Взрослый или Родитель – Ребенок.
Комплементарные трансакции типа Взрослый – Взрослый обычно происходят в ходе групповой деятельности. В повседневной жизни примером такой трансакции является вопрос «Который час?» и ответ «Полчетвертого». Стимул Взрослый – Взрослый вызывает реакцию Взрослый – Взрослый, такой вариант может быть назван комплементарной трансакцией типа 1, он представлен на рисунке 22А.

Рис. 22. Комплементарная трансакция

Рис. 23. Пересекающиеся трансакции
Второй тип обычной комплементарной трансакции – тот, что имеет место между Родителем и Ребенком, – легко наблюдать в семейной жизни, когда дети просят у родителей помощи, одобрения или защиты. Такая же трансакция происходит между взрослыми, когда один из них нуждается в реакции помощи, защиты или одобрения. Например, заболевший муж, который по опыту детства знает, «как принято болеть», – ложась в постель, обращается к состоянию Эго Ребенок. Жена, научившаяся от матери заботиться о больных, переходит в состояние Эго Родитель и помогает мужу. Если заболевает она, супруги меняются ролями, меняются и их состояния Эго. Такая взаимная любовная забота во времена необходимости демонстрирует комплементарную реакцию типа 2, которая представлена на рисунке 22Б. Состояние Эго Взрослый особенно чувствительно к некоторым лекарствам и бактериальным токсинам. Обычно человек с высокой температурой не в состоянии сохранить состояние Эго Взрослый и обращается к состоянию Эго Ребенок, тем самым активизируя состояние Эго Родитель в тех, кто о нем заботится. В таком случае окружающие выходят за пределы строго Взрослого медицинского обращения и успокаивают и утешают больного.
Более 800 000 книг и аудиокниг! 📚
Получи 2 месяца Литрес Подписки в подарок и наслаждайся неограниченным чтением
ПОЛУЧИТЬ ПОДАРОК