Правильное заполнение шаблона

Осталось правильно оформить всё в шаблоне Excel. Скачать его можно здесь:

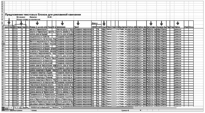
Нас интересует лишь несколько столбцов: номер объявления, фраза с минус-словами, заголовок, текст, ссылка, заголовки быстрых ссылок, адреса быстрых ссылок, метки. Всё остальное не имеет значения или можно заполнить уже в интерфейсе.

В столбец «фраза с минус-словами» вставь все горячие ключевики как есть – с операторами и минус-словами. Тёплые вставляй в отдельный файл. В столбцах «Заголовок» и «Текст» вставь заголовки и тексты, потом соответствующие им ссылки и метки в специальные столбцы. Названия быстрых ссылок копируй в столбец «Заголовки быстрых ссылок», а сами ссылки – в «Адреса быстрых ссылок». Теперь в первой строке столбца «Номер объявления» напиши 1, нажми на чёрный крестик в правом нижнем углу, и каждая строчка пронумеруется: 1, 2, 3,1000. Получившиеся числа скопируй в столбик «Название группы». Также необходимо проставить «-» в каждой ячейке столбиков «Доп. объявление группы» и «Мобильное объявление». На данном этапе нет смысла писать отдельные объявления для мобильных устройств.

Пример заполненного шаблона Excel

Остальные ячейки оставляй нетронутыми. Если фраз получилось больше 1000, то весь излишек перенеси в другой файл, ничего критичного в этом нет. На этом наша работа с Excel закончена.

Более 800 000 книг и аудиокниг! 📚

Получи 2 месяца Литрес Подписки в подарок и наслаждайся неограниченным чтением

ПОЛУЧИТЬ ПОДАРОК