Практическое занятие по теме «Исследование социально-психологических проблем межэтнического взаимодействия»

С помощью представленных методов и приемов этнопсихологического исследования провести анализ отношений между двумя реально взаимодействующими этническими группами. Отчет по исследованию должен содержать результаты исследования, их обработку, анализ и интерпретацию, выводы.

Методика Г. У. Солдатовой (1998) «ТИПЫ ЭТНИЧЕСКОЙ ИДЕНТИЧНОСТИ». Главная задача методики – определение тенденций трансформации этнического самосознания в условиях роста межэтнической напряженности. Одной из форм кризисных трансформаций этнической идентичности является рост этнической нетерпимости (интолерантности) Толерантность – интолерантность, главная проблема межэтнических отношений в условиях роста межэтнической напряженности. Степень этнической толерантности оценивается на основе следующих критериев: уровень «негативизма» в отношении к собственной и другим этническим группам, уровень порога эмоционального реагирования на иноэтническое окружение, степень выраженности агрессивных и враждебных реакций по отношению к другим группам.

Типы идентичности с различным качеством и степенью выраженности этнической толерантности были выделены на основе широкого диапазона шкалы этноцентризма, начиная от «отрицания» идентичности, когда фиксируется негативизм и нетерпимость по отношению к собственной этнической группе, до национального фанатизма – высшей степени негативизма по отношению к другим этническим группам.

Инструкция испытуемому. Ниже приводятся высказывания различных людей по вопросам национальных отношений, национальной культуры. Подумайте, насколько ваше собственное мнение совпадает с мнением этих людей. Определите свое согласие или несогласие с данными высказываниями.

Я – ТАКОЙ ЧЕЛОВЕК, КОТОРЫЙ

Рассматриваются следующие типы этнической идентичности:

– этнонигилизм (индикаторы: 3, 9, 15, 21, 27);

– этническая индифферентность (индикаторы: 5, 11, 17, 28, 30);

– норма (позитивная этническая идентичность) (индикаторы: 1, 7, 13, 19, 25),

– этноэгоизм (индикаторы: 6, 12, 16, 18, 24);

– этноизоляционизм (индикаторы: 2, 8, 20, 22, 26);

– национальный фанатизм (индикаторы: 4, 10 14, 23, 29).

Как отмечает Г. У. Солдатова (1998), трансформации этнического самосознания начинаются с его ядра – этнической идентичности. Можно рассматривать три вида ее трансформации. Вопервых, этническая идентичность может размываться, что выражается в неопределенности этнической принадлежности, неактуальности этничности. Во-вторых, возможен отход от собственной этнической группы и поиски устойчивых социально-психологических ниш не по этническому критерию. В-третьих, этническая идентичность может гиперболизироваться и в контексте межэтнических отношений принимать дискриминационные формы.

Трансформация этнической идентичности – это ее изменения относительно «позитивной этнической идентичности». Позитивная этническая идентичность характерна для большинства людей и представляет такой баланс толерантности по отношению к собственной и другим этническим группам, который позволяет рассматривать ее, с одной стороны, как условие самостоятельного и стабильного существования этнической группы, с другой – как условие мирного межкультурного взаимодействия в полиэтническом мире. Поэтому позитивная этническая идентичность приобретает статус «нормы». В ее структуре соотносятся позитивный образ собственной этнической группы с позитивным ценностным отношением к другим этническим группам.

Отклонения от «нормы» могут происходить по типу этнической индифферентности, гипоидентичности (этнонигилизм) и гиперидентичности (этноэгоизм, этноизоляционизм и национальный фанатизм).

Этническую идентичность по типу «нормы» характеризует высокая толерантность и готовность к межэтническим контактам. Позитивность отношений к собственным и другим народам, сочетающаяся в «норме», вовсе не предполагает эмоциональной однозначности этих отношений. В противоположность космополитизму, идеологии «гражданина мира», человеку с «нормальной» этнической идентичностью свойственно естественное предпочтение собственных этнокультурных ценностей. Это как бы начальная ступень этноцентризма, когда стремление к позитивной этнической идентичности является необходимым условием сохранения целостности и неповторимости этнической общности в этнокультурном многообразии мира.

Индивиды, у которых самосознание трансформировалось по типу гипоидентичности, характеризуются тем, что их этнонигилистические тенденции отражают нежелание поддерживать собственные этнокультурные ценности, выражаются в ощущении этнической неполноценности, ущемленности, стыда за представителей своего этноса, иногда негативизма по отношению к ним и в трудностях в общении. Этнонигилисты отчуждаются от собственной группы. Отрицание как один из общих защитных механизмов при этом типе идентичности может активизировать общую агрессивность.

В основе трансформации этнического самосознания по типу гиперидентичности лежит гипертрофированное стремление к позитивной этнической идентичности. Гиперидентичность – своеобразный этнический нарциссизм. Это предполагает переход от естественного предпочтения по ряду параметров собственной этнической группы к абсолютной убежденности в превосходстве над «чужими». При таком типе идентичности более вероятным становится насилие как форма действия и агрессивный стиль решения конфликтов. Гиперидентичность – это характеристика самосознания «наступательного» типа, отражающая стремление представителей группы к этническому доминированию. В межэтническом взаимодействии она проявляется в различных формах этнической нетерпимости: от раздражения, возникающего как реакция на присутствие членов других этнических групп, до отстаивания политики ограничения их прав и возможностей.

Основой гиперидентичности является этноцентризм. Распространенное и жесткое разделение на «своих» и «чужих» порождает негативные образы «чужих» и враждебные установки по отношению к ним, а также иерархическую авторитарную точку зрения на групповое взаимодействие, в котором «своя» группа доминирует, а «чужие» группы являются подчиненными. При этом этноцентризм как производное от реакции на конфликт и угрозу со стороны других групп имеет следующие основные симптомы: увеличивающаяся плотность групповых границ, уменьшение числа «отступников» в группе, усиление их наказания или даже отвержение их как «дезертиров».

Относительно лояльный вид гиперидентичности обозначается как этноэгоизм. Он может выражаться и в безобидной форме на вербальном уровне как результат восприятия через призму конструкта «мой народ». Но может предполагать, например, напряженность и раздражение в общении с представителями других этнических групп или признание за своим народом права решать проблемы за «чужой» счет.

Более глубокие трансформации этнической идентичности соответствуют формированию этнического самосознания по типу этноизоляционизма. Это проявляется в убежденности в превосходстве своего народа, в признании необходимости «очищения» национальной культуры, негативном отношении к брачным межнациональным союзам, ксенофобии (ненависти ко всему чужому). Крайним видом гиперидентичности является «национальный фанатизм» – готовность идти на любые действия во имя так или иначе понятых этнических интересов, вплоть до этнических «чисток», отказа в праве пользования ресурсами и социальными привилегиями другим народам, признания приоритета этнических прав народа над правами человека, оправдания любых жертв в борьбе за благополучие своего народа.

ОПРОСНИК О. Л. РОМАНОВОЙ ДЛЯ ИССЛЕДАВАНИЯ ЭТНИЧЕСКОЙ ИДЕНТИЧНОСТИ ДЕТЕЙ И ПОДРОСТКОВ

Автор данной разработки исходит из идеи о том, что в структуре этнической идентичности выделяется два компонента: когнитивный (т. е. самоидентификация через осознание особенностей собственной группы, которая проявляется, в частности, в авто-стереотипах) и аффективного (субъективная значимость для человека членства в данной этнической группе).

Опросник состоит из трех блоков вопросов:

1) направлен на выявление чувства принадлежности к своей этнической группе (№ 1, 6, 10, 14, 21);

2) направлен на оценку того, насколько национальность считается значимой для респондента (№ 2, 4, 5, 7, 9, 12, 13);

3) направлен на выяснение мнений респондентов о взаимоотношениях этнического большинства и меньшинства (№ 16, 17, 18, 19, 20).

Кроме того, в опросник вошли утверждения, касающиеся использования респондентами того или иного языка (№ 3, 15).

Респонденты должны определить свое отношение к каждому утверждению по 5-балльной шкале.

Опросник

Определите степень своего согласия с перечисленными ниже утверждениями с помощью следующей шкалы:

+2 – полностью согласен;

+1 – скорее согласен, чем не согласен;

0 – затрудняюсь ответить;

– 1 – скорее не согласен, чем согласен;

– 2 – совершенно не согласен.

1. Я интересуюсь историей, культурой своего народа.

2. Считаю, что в любых межнациональных спорах человек должен защищать интересы своего народа.

3. Представители одной национальности должны общаться между собой на своем родном языке.

4. Думаю, что национальная гордость – чувство, которое нужно воспитывать с детства.

5. Считаю, что при общении с людьми нужно ориентироваться на их личные качества, а не на национальную принадлежность.

6. Меня крайне задевает, если я слышу что-либо оскорбительное в адрес своего народа.

7. Национальная принадлежность – это то, что всегда будет разъединять людей.

8. Считаю, что представители каждой национальности должны жить на земле своих предков.

9. В дружбе, а тем более в браке нужно ориентироваться на национальность партнера.

10. Я испытываю глубокое чувство личной гордости, когда слышу что-либо о выдающемся достижении своего народа.

11. Считаю, что люди имеют право жить на любой территории вне зависимости от своей национальной принадлежности.

12. Думаю, что органично развивать и сохранять можно только свою национальную культуру.

13. Поддерживаю смешанные браки, так как они связывают между собой различные национальности.

14. Если я встречаюсь с обвинением в адрес своего народа, то, как правило, не отношу это на свой счет.

15. Считаю, что преподавание в школе в межнациональном государстве должно быть организовано на языке коренного большинства населения.

16. Считаю, что политическая власть в многонациональном государстве должна находиться в руках коренного большинства населения.

17. Представители коренного большинства населения не должны иметь никаких преимуществ перед другими народами, живущими на данной территории.

18. Считаю, что представители коренной национальности имеют право решать – жить в их государстве людям других национальностей или нет.

19. Думаю, что в правительстве многонационального государства должны находиться представители всех национальностей, проживающих на его территории.

20. Думаю, что представители коренной национальности должны иметь определенные преимущества, т.к. они живут на своей территории.

21. Если бы я имел возможность выбора национальности, то предпочел бы ту, которую имею сейчас.

ВЛИЯНИЕ ЭТНИЧЕСКОЙ ПРИНАДЛЕЖНОСТИ ЧЕЛОВЕКА НА ПРОИЗВОДИМОЕ ИМ ВПЕЧАТЛЕНИЕ. Данный методический прием позволит выяснить, какие обобщенные представления существуют о других людях, основанные на их этнической принадлежности.

Образец бланка для ответов

Человек, которого Вы себе представили, по национальности __________________________.

Опишите, пожалуйста, этого человека с помощью следующих оценочных шкал.

1. Что в первую очередь приходит вам на ум, когда вы думаете об этой этнической группе?

2. Какие качества наиболее характерны для представителей этой группы?

3. Какие качества для них совершенно не характерны? (Чего вы от них не ожидаете, что бы вас в них удивило?)

Ваш возраст _______

Ваш пол ___________

Ваша национальность __________

МЕТОД ВЫЯВЛЕНИЯ МЕЖКУЛЬТУРНЫХ ЗАИМСТВОВАНИЙ (Н. М. ЛЕБЕДЕВА, 1989). Суть метода – актуализация социально-перцептивных представлений о взаимных культурных заимствованиях у членов контактирующих этнических групп. Респондентам задается вопрос: «Как Вам кажется, живя долгое время в тесном соседстве с азербайджанцами (грузинами, армянами …) русские что-нибудь переняли у них? А азербайджанцы (грузины, армяне …) у русских?». Все перечисленные культурные заимствования фиксируются, группируются по признаку негативно или позитивно оцениваемых, а также по некоторым содержательным различиям. По этим образам мы можем судить о развитости группового сознания, о том, насколько группа сама себя воспринимает как единое целое, о степени дифференцированности в групповом сознании культурных отличий, принадлежащих данной группе изначально, а также приобретенных ею в результате межгруппового общения и взаимодействия.

Показатели:

1. Соотношение позитивных и негативных оценок взаимовлияния культур. Преобладание позитивных оценок влияния другой культуры на собственную и собственной на другую есть показатель позитивной групповой идентификации и межгрупповой (межэтнической) толерантности. Такое сочетание говорит о том, что группа достаточно хорошо адаптирована в иной культуре, оставаясь самостоятельным субъектом межэтнического взаимодействия, с уважением относясь к своей и чужой этнической (культурной) принадлежности. Сочетание преобладания позитивного влияния собственной культуры на другую с наличием довольно высокого процента негативных оценок влияния другой культуры на собственную говорит о том, что данная культура ощущает влияние иной культуры как угрозу существования своей собственной культурной идентичности, могущей привести к ее распаду или трансформации. Это атрибутивный защитный механизм контрсуггестии, приводящий к появлению неадекватности межгруппового восприятия. Наличие негативных оценок влияния собственной культуры на другую в сочетании с позитивной оценкой влияния иной культуры может свидетельствовать о существовании ингрупповой (культурной) неудовлетворенности, о распаде данной группы как самостоятельного субъекта межэтнических отношений, о смене членами группы своей групповой принадлежности.

2. Доля «психологических» заимствований (или заимствований во внутренне-культурных чертах) своей культуры от соседней. Автор метода отмечает, что в зарубежной литературе по кросс-культурной психологии существует деление на внешнекультурные (традиции, обряды, элементы материальной культуры и пр.) и внутренне-культурные (мораль, психологические особенности и т. п.) черты, и «психологические» заимствования – это «в основном характерологические изменения, которые могут косвенно свидетельствовать об изменении в ценностях данной группы под влиянием иной культуры (либо приписываемых данному влиянию)». Большая доля воспринимаемых «психологических» заимствований от другой культуры говорит: а) о воспринимаемых и осознаваемых различиях между собственной культурой и соседней, б) что инокультурное влияние ощущается как сильное и глубокое. Преобладание негативных «психологических» заимствований от иной культуры говорит о том, что представители данной группы воспринимают инокультурное влияния как угрожающее их ценностному единству, о «включении» механизмов психологической защиты, о неадекватности межгруппового восприятия. Отсутствие «психологических» заимствований говорит о том, что различия в ценностях между культурами почти не осознаются, и может служить своеобразным свидетельством близости культур (при длительном опыте взаимодействия). Наличие негативно оцениваемых «психологических» заимствований соседней культуры от собственной говорит о том, что данная группа не удовлетворена своей культурной принадлежностью, и, возможно, о смене групповой идентификации.

3. Отрицание культурных заимствований (доля ответов «ничего не заимствовали»). Высокая доля ответов типа «мы ничего у них не заимствовали» может служить показателем: а) либо завышения статуса собственной группы (отказ от осознания влияния иной культуры на собственную и даже отказ ей в праве влияния) как одного из вариантов контрсуггестии или психологической защиты, и вследствие этого – неадекватности межгруппового восприятия; б) либо отсутствия в групповом сознании четких различий между своей и соседней культурой, недифференцированности группового сознания, возможно, свидетельством того, что группа не является самостоятельным субъектом межгруппового взаимодействия и взаимовосприятия. Высокая доля ответов типа «они у нас ничего не заимствовали» может говорить о признании более высокого статуса иной культуры, о собственной групповой (культурной) неудовлетворенности.

ШКАЛА СОЦИАЛЬНОЙ ДИСТАНЦИИ Э. БОГАРДУСА – оценивает степень социально-психологического принятия людьми друг друга и используется для измерения дистанции, связанной с расовой или национальной принадлежностью. Шкала показывает степень психологической близости (отчужденности), способствующей (препятствующей) легкости взаимодействия этнических общностей. Максимальная социальная дистанция означает, что человек или этнос держится обособленно, автономно. Вежливость и этикет как культурные способы общения позволяют скрыть свою личность, собственную оригинальность и культуру. Коммуникации в таких случаях большей частью символичны и формальны. Минимальная дистанция способствует конкретизации представлений о других людях, поскольку когда люди хорошо знакомы, интересуются друг другом, национальной культурой, они вовлекаются во взаимодействие и каждый принимает во внимание оригинальность и индивидуальность друг друга.

Инструкция. «Проранжируйте представителей указанной национальности, отмечая степень приемлемости их для себя лично только по одному из предложенных критериев. Отвечайте по принципу: для меня лично возможно и желательно в отношении людей данной национальности:

1. Принятие как близких родственников посредством брака.

2. Принятие как личных друзей.

3. Принятие как соседей, проживающих на моей улице.

4. Принятие как коллег по работе, имеющих ту же профессию, что и я.

5. Принятие как граждан моей страны.

6. Принятие только как туристов в моей стране.

7. Предпочел бы не видеть в моей стране».

Математическая обработка

Ключ:

Шкала социальной дистанции дает возможность определить два основных показателя, каждый из которых имеет два варианта, оценивающих возможную и реальную степени социальной дистанции. Первый показатель – социальная приемлемость – отражает стремление к взаимодействию и интеграции и даже ассимиляции с другим этносом. Второй показатель – социальная экспансивность – отражает выраженность и направленность социальных чувств представителей одного этноса по отношению к другому. Чем сильнее выражены чувства людей по отношению друг к другу, тем меньше между ними социальная дистанция, тем плотнее их взаимодействие. Поэтому изучение этнических общностей с помощью шкалы социальной дистанции дает возможность определить и степень выраженности этнических чувств.

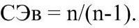
1. Возможная социальная приемлемость (СПв) расчитывается по формуле:

где n – количество опрошенных.

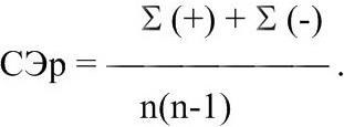
2. Реальная социальная приемлемость (СПр) расчитывается по формуле:

Если СПр положительная и больше 50 % от СПв, то это свидетельствует о большой приемлемости людьми одной национальности представителей другой национальности, о стремлении к интеграции, близости, ассимиляции с ними. Если СПр положительная, но меньше 50 % от СПв, это говорит об автономности данного этноса, об отсутствии стремления к интеграции с другим этносом. Если же СПр отрицательная и больше 50 % от СПв, то это свидетельствует о стремлении одного этноса целиком обособиться от другого, поддерживать по возможности только поверхностные, формальные контакты с его представителями.

3. Возможная социальная экспансивность (СЭв) рассчитывается по формуле:

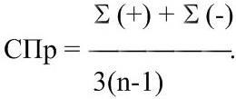
4. Реальная социальная экспансивность (СЭр) рассчитывается по формуле:

Если СЭр положительная и больше 50 % от СЭв, то это свидетельствует о глубоких позитивных чувствах и об искреннем интересе представителей одной национальности к другой. Если же СЭр положительная и меньше 50 % от СЭв, это говорит об определенной напряженности в отношениях, о том, что не все представители этой национальности с искренним интересом и сочувствием относятся к другой национальности. Если СЭр отрицательная и больше 50 % от СЭв, то это говорит о глубокой психологической неприязни людей данной национальности к другой национальности в целом, но не к конкретным, реально живущим и действующим ее представителям.

5. Дополнительный показатель – коэффициент изменчивости (КИ) – рассчитывается по формуле:

где – среднеквадратическое отклонение, m – средняя арифметическая.

При положительной СПр КИ меньше 50 % означает естественную избирательность в оценках приемлемости представителями одного этноса представителей другого и в целом позитивное отношение, если же КИ больше или равно 50 %, то это говорит о значительной напряженности в отношениях некоторых представителей одного этноса к другому.

При использовании данного метода необходимо иметь в виду, что «некоторые формы контактов, используемые для измерения социальной дистанции в одной культуре, не имеют смысла в другой. В Индии для измерения социальной дистанции может быть использовано понятие «прикасаться к моей посуде». Так как в этой стране до сих пор сохранились идеи ритуального осквернения; индивид, согласный жить рядом с представителем более низкой касты, может не согласиться, чтобы тот дотрагивался до его посуды. Но, как не без иронии отмечает Г. Триандис, «абсолютно бессмысленно было бы выяснять отношение американца к тому, что к его посуде прикоснется турок».

Более 800 000 книг и аудиокниг! 📚

Получи 2 месяца Литрес Подписки в подарок и наслаждайся неограниченным чтением

ПОЛУЧИТЬ ПОДАРОК