Приложение 1. Тесты для поступающих в ВУЗ

Российская Академия предпринимательства

_______________________________________

ИСТОРИЯ ОТЕЧЕСТВА. Контрольные задания для абитуриентов 2006 года поступления.

Ниже предлагаются задания с вариантами ответов. После текста самого задания приводятся пронумерованные варианты ответов. Абитуриентам предлагается выбрать правильные и отметить их в указанном месте согласно приложенным обозначениям.

1. Наиболее развитым среди восточных славян было, по мнению автора «Повести временных лет», племя

1. вятичей

2. полян

3. древлян

4. северян

5. дреговичей

Правильный ответ: __________

2. Важнейшая предпосылка политической раздробленности Руси – это

1. новый порядок наследования Киевского престола , установленный Ярославом Мудрым

2. междоусобицы

3. решение Любечского съезда князей 1097 года

4. экономический прогресс отдельных земель на базе натурального хозяйства

5. падение роли торгового пути «из варяг в греки»

Правильный ответ: __________

3. Значительное расширение территории Российского государства на востоке ( Сибирь) и юговостоке (Поволжье) произошло при:

1. Иване III

2. Иване IV Грозном

3. Борисе Годунове

4. Михаиле Романове

Правильный ответ: __________

4. Законодательный акт, в значительной мере отвечавший интересам русского купечества – это

1. указ об «урочных летах» 1597 г.

2. решение о созыве Земского собора в 1549 г.

3. денежная реформа Елены Глинской 1533–1538 гг.

4. Новоторговый устав 1667 г.

5. введение подворной подати в 1678 г.

Правильный ответ: __________

5. Главное условие быстрого роста промышленности при Петре I – это

1. либерализация социально-экономических порядков в стране

2. расширение рынка рабочей силы за счет вольнонаемного труда

3. ужесточение феодально-крепостнических отношений

4. широкая поддержка частного предпринимательства

5. замена подворной подати подушной

Правильный ответ: __________

6. Рост торгового дефицита в стране ( в 1809 г. он достиг 157 млн. руб.) объяснялся, прежде всего, тем, что:

1. в начале XIX века Россия вела многочисленные войны ( с Турцией, Швецией, Ираном, Францией)

2. увеличились затраты на поддержание дружественных режимов в мелких немецких государствах

3. предпринята попытка, создать первые военные поселения

4. Россия вынуждена соблюдать условия Тильзитского мира ( 1807 г.)

5. резко сократился экспорт зерна из-за ряда неурожайных лет

Правильный ответ: __________

7. Самой распространенной формой монополистических объединений в России на рубеже XIX–XX вв. были

1. синдикаты

2. консорциумы

3. тресты

4. картели

5. концерны

Правильный ответ: __________

8. Главное отделение НЭПа от политики «военного коммунизма» —

1. замена продразверстки продналогом

2. развитие различных форм кооперации

3. денационализация мелких и средних предприятий

4. развитие рыночных отношений и частного предпринимательства

5. разрешение сдавать землю в аренду

Правильный ответ: __________

9. Крупнейшей военной операцией Советской Армии на завершающем этапе Великой Отечественной войны была

1. Восточно-Прусская

2. Висло-Одерская3. Петсамо-Киркенесская

4. Берлинская

5. Пражская

Правильный ответ: __________

10. Самое крупное достижение внешней политики СССР в 60– 70-е годы XX века – это

1. договор о запрещении испытаний ядерного оружия в трех средах

2. договор о нераспространении ядерного оружия

3. договоры ОСВ-1 и ОСВ-2

4. договор СССР-ФРГ о признании послевоенных границ в Европе

5. подписание заключительного акта Совещания по безопасности и сотрудничеству в Европе , созданного по инициативе СССР в 1975 г.

Правильный ответ: __________

Российская Академия предпринимательства

_______________________________________

Русский язык. Контрольное задание для абитуриентов 2006 года поступления.

Ниже предлагаются задания с вариантами ответов. После текста самого задания приводятся пронумерованные варианты ответов. Абитуриентам предлагается выбрать правильные и отметить их в указанном месте согласно приложенным обозначениям.

1. Буква -а– пишется в корне всех слов ряда:

1. взр…стить, пл…вец, к…сательная

2. з…ря, р…внина, м…кать

3. предл…гать, оз…рение, р…сток

4. ск…кать, благотв…рительность, отр…сль

Правильный ответ:_______________________

2. Буква -е– пишется во всех словах ряда:

1. дириж…р, печ…шь, ж…лтый

2. капюш…н, деш…вый, удруч…нный

3. сожж…нный, ш…колад, ш…ссе

Правильный ответ:_________________________

3. Удвоенные согласные пишутся со всеми словами в ряду:

1. ба(л,лл)отироваться, нове(л,лл)а, ди(л,лл)ер, бри(л,лл)иант

2. ко(р,рр)упция, ко(р,рр)идор, ко(р,рр)ектор, ка(р,рр)икатура

3. оди(н,нн)адцать, коло(н,нн)а, а(н,нн)отация, те(н,нн)ис

4. се(с,сс)ия, продю(с,сс)ер, режи(с,сс)ер, профе(с,сс)ия

Правильный ответ:_____________________

4. Буква -е– пишется во всех словах ряда:

1. пр…ближение, пр…града

2. пр…тендент, пр…ватизация

3. пр…восходство, пр…подаватель

4. пр…тензия, пр…тязание

5. пр…вередливый, пр…хорошенький

Правильный ответ:______________________

5. Одна -н– пишется во всех словах ряда:

1. оловя(н,нн)ый, серебря(н,нн)ый

2. песча(н,нн)ый, воспита(н,нн)ый

3. гуси(н,нн)ый, исти(н,нн)ый

4. ветре(н,нн)ый, копче(н,нн)ости

5. кова(н,нн)ный, маринова(н,нн)ый

Правильный ответ: ____________________

6. Раздельно пишутся все наречия в ряду:

1.(во)первых, (под)стать

2.(без)отказа, (в)заключение

3.(на)лицо, (в)открытую

4.(в)начале, (без)спросу

5.(по)двое, (на)прокат

Правильный ответ: ___________________

7. Разделительный твердый знак пишется во всех словах ряда:

1. пред…явить, вороб…и, непод…емный

2. с..агитировать, об…являть, трех…ярусный

3. ад..ютант, под…езд, двух…язычный

Правильный ответ: ______________________

8. Частица не пишется слитно со всеми словами в ряду:

1.(не)зачем, (не)думая, (не)серьезный

2.(не)знакомка, (не)плохо, весьма (не)красивый поступок

3.(не)вареный, (не)взрачный, (не)под силу

Правильный ответ: ________________________

9. Определите тип сложного предложения

В праздничные дни около шалаша собирается целая ярмарка и за деревьями поминутно мелькают красные уборы. (И. Бунин)

1. сложносочиненное

2. сложноподчиненное

3. бессоюзное

Правильный ответ: _____________________

10. Предложение, в котором пропущен знак препинания:

1. Я знаю в вашем сердце есть и гордость, и прямая честь. (А. Пушкин)

2. Он работал спустя рукава.

3. Бунина большинство знает как прозаика. (К. Паустовский)

4. Расстояние не помеха для друзей. (Пословица)

Правильный ответ: ______________________

Российская Академия предпринимательства.

_______________________________________

МАТЕМАТИКА. Контрольные задания для абитуриентов 2006 года поступления.

Ниже предлагаются задания с вариантами ответов. После текста самого задания приводятся пронумерованные варианты ответов. Абитуриентам предлагается выбрать правильные и отметить их в указанном месте согласно предложенным обозначениям.

1. Сократите дробь

1. x–1,5 2. 2x–3 3. x+1,5 4. 2x+3

Правильный ответ:_________

2. При каких значениях t уравнение 3x2?6x+t=0 имеет два разных корня?

1.(??;3) 2. (3;?) 3. (??;24) 4.

Правильный ответ:__________

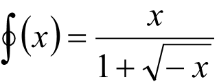
3. Решить систему неравенств

1.(??;2) 2. (2;5] 3. (??;5] 4. (2;?)

Правильный ответ:__________

4. Найдите все значения x , при которых трехчлен x2?2x?15 принимает отрицательные значения:

1.(?5;3)

2.(??;?3)?(5;?)

3.(?3;5)

4.(5;?)

Правильный ответ:__________

5. Сумма второго и третьего членов арифметической прогрессии равна 16, разность ее равна 4. Найдите первый член прогрессии:

1. 6 2. 2 3. 5 4.4

Правильный ответ:__________

6. Шестой член геометрической прогрессии 1000; –100; … равен:

1. 0,01

2. –0,01

3. 0,1

4. –0,1

Правильный ответ: ___________

7. Найдите сумму квадратов корней уравнения y2(y+5)?(y+5)=0

1. 26 2. 27 3. 25 4. 7

Правильный ответ: ___________

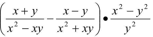
8. Упростите выражение

Правильный ответ: ____________

9. В магазин привезли платья. Так как они плохо раскупались, то цену снизили на 20 % , через некоторое время цену снизили еще на 15 % .После этого цена платья стала равна 23800 рублей. Определите первоначальную стоимость платья:

1. 1700

2. 35000

3. 3700

4. 4100

Правильный ответ:______________

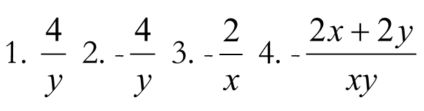
10. Найдите область определения функции заданной формулой

1. (0;?) 2. (??;?) 3. (??;0] 4. (?3;0]

Правильный ответ:______________

Российская Академия предпринимательства.

_______________________________________

ГЕОГРАФИЯ. Контрольное задание для абитуриентов 2006 года.

Ниже предлагаются задания двух видов: с вариантами ответов и без вариантов ответов. В первом случае после текста самого задания приводятся пронумерованные варианты ответов. Абитуриентам предлагается выбрать правильные и отметить их в указанном месте, согласно предложенным обозначениям. Во втором случае, в указанных местах просто вписываются правильные, с точки зрения абитуриента, ответы.

1. Какая из нижеперечисленных линий географической сетки пересекает территорию России?

1. линия экватора

2. линия южного полярного круга

3. Гринвический меридиан

4. линия северного полярного круга

Правильный ответ:

2. Между островами Ратманов и Крузенштерн проходит:

– нулевой меридиан

– линия перемены дат

– государственная граница

– линия экватора

Правильный ответ:

3. Большая часть пресных вод содержится

1. в ледниках и снежных покровах

2. в подземных источниках

3. в реках и озерах

4. в болотах

Правильный ответ:

4. Мощность озонового слоя составляет:

1. 2–4 мм

2. 2–4 см

3. 2–4 м

4. 2–4 км

Правильный ответ:

5. Вынесение на местность линии границы между сопредельными государствами на основании географических карт, прилагаемых к договору, называется:

1. суверенитизация

2. делимитация

3. демаркация

4. коагуляция

Правильный ответ:

6. Крайняя восточная точка РФ расположена на территории следующего субъекта федерации:

1. Калининградская область

2. Чукотский автономный округ

3. Магаданская область

4. Камчатская область

Правильный ответ:

7. Крупнейшие реки европейской части России относятся к:

1. бассейну Атлантического океана

2. бессточному бассейну

3. бассейну Северного Ледовитого океана

4. бассейну Тихого океана

Правильный ответ:

8. Ее высоты нигде не превышают 300 м над уровнем моря. Речь идет о:

1. Туранской низменности

2. Западно-Сибирской равнине

3. Восточно-Европейской равнине

4. Среднесибирском плоскогорье

Правильный ответ:

9. Какие из нижеперечисленных стран имеют с Россией общую границу?

1. Норвегия

2. Румыния

3. Республика Корея

4. США

5. Казахстан

Правильный ответ:

10. Межрайонные миграции относятся к:

1. внутренним миграциям

2. внешним миграциям

3. маятниковым миграциям

Правильный ответ:

Российская Академия предпринимательства

__________________________________________

Английский язык. Контрольные задания для абитуриентов 2006 года поступления.

Ниже предлагаются задания двух видов: с вариантами ответов и без вариантов ответов. В первом случае после текста самого задания приводятся пронумерованные варианты ответов. Абитуриентам предлагается выбрать единственно правильный ответ и отметить их в указанном месте согласно приложенным обозначениям. Во втором случае, предлагается перевести текст на русский язык.

1.What … he do in the morning?

1. do

2. is

3. are

4. does

Your answer: _______________

2. She … a good dinner yesterday.

1. cooks

2. cooking

3. cooked

4. was cooking

Your answer: _______________

3. I … an English exercise now.

1. is writing

2. am writing

3. was writing

4. were writing

Your answer: _______________

4. Have you … any stories by Jack London?

1. read

2. reads

3. reading

4. readings

Your answer: _______________

5. When then entered the hall, the performance … already … .

1. to begin

2. began

3. had begun

4. beginning

Your answer: _______________

6. They … … … a composition already for two hours.

1. are writing

2. were writing

3. has writing

4. have been writing

Your answer: _______________

7. There aren’t … fruits at this time of the year.

1. some

2. any

3. no

4. none

Your answer: _______________

8. There is no place like … .

1. house

2. apartment

3. home

4. accommodation

Your answer: _______________

9. They looked … each other in surprise.

1. with

2. after

3. for

4. at

Your answer: _______________

10. Translate the text:

The ball-point pen

A Hungarian, Laszlo Biro, made the first -bapoillnt pen in 1938. In 1944 the British Army bought thirty thousand because soldiers could write with them outside the rain. At the end of the war «Biros» quickly became very popylar all over the world. In 1948 a shop in New York sold ten thousand pens on one day.

_______________________________________________________

_______________________________________________________

_______________________________________________________

_______________________________________________________

_______________________________________________________

_______________________________________________________

_______________________________________________________

_______________________________________________________

_______________________________________________________

_______________________________________________________

_______________________________________________________

_______________________________________________________

_______________________________________________________

_______________________________________________________

_______________________________________________________

_______________________________________________________

Российская Академия предпринимательства

______________________________________________

Обществознание. Контрольные задания для абитуриентов 2006 года поступления.

Ниже предлагаются задания с вариантами ответов. После текста самого задания приводятся пронумерованные варианты ответов. Абитуриентам предлагается выбрать правильные и отметить их в указанном месте согласно приложенным обозначениям.

1. Отношения между обществом и природой характеризуются:

1. влиянием общества на среду обитания человека

2. господством человека над природой

3. полной зависимостью общества над природой

4. отсутствием связи общественного развития с природой

5. влиянием общества на природные катаклизмы

Правильный ответ: __________

2. Исторический тип общества, основанный на определенном способе производства, называется в марксистской теории:

1. надстройкой

2. общественно-экономической формацией

3. базисом

4. цивилизацией

5. государством

Правильный ответ: __________

3. Что такое «общественный договор»?

1. переход общества от естественного состояния к «гражданскому обществу»

2. юридическое определение заключения международных соглашений

3. философская и юридическая доктрина, объясняющая возникновение государственной власти соглашением между людьми

4. сделка между производителями и потребителями

5. союз национальных обществ

Правильный ответ: __________

4. Социология как наука не изучает :

1. размещение производительных сил

2. причины межнациональных конфликтов

3. взаимодействие малых групп в обществе

4. пути формирования социальных групп

5. изменение роли семьи в обществе

Правильный ответ: __________

5. Владелец акции принадлежит к числу собственников:

1. государственного предприятия

2. кооператива

3. индивидуального частного предприятия

4. корпорации

5. товариществу по совместной обработке земли

Правильный ответ: __________

6. Понятию предпринимательства не соответствуют:

1. учреждение или покупка в собственность предприятия

2. попытка начать выгодное дело

3. экономическая деятельность, дающая прибыль

4. получение выгоды путем обмана потребителей

5. предпринять что-то новое или улучшить уже существующее

Правильный ответ: __________

7. Любое государство характеризуется :

1. принципом «запрещено все, что не разрешено»

2. соблюдением прав человека

3. защитой безопасности страны

4. разделением властей

5. наличием демократических институтов

Правильный ответ: __________

8. Президент Российской Федерации в соответствии с Конституцией:

1. обеспечивает исполнение федерального бюджета

2. разрабатывает законы

3. решает вопросы гражданства Российской Федерации

4. принимает меры по охране общественного порядка

5. назначает судей Конституционного суда

Правильный ответ: __________

9. Наука – это :

1. особый вид деятельности

2. элемент политической системы общества

3. показатель социального статуса

4. форма материальной культуры

5. связь между интересами индивидуумов

Правильный ответ: __________

10. Принцип свободы совести с необходимостью предполагает:

1. атеизм

2. веру в Бога

3. веротерпимость (толерантность)

4. экстремизм

5. шовинизм

Правильный ответ: __________

Каждый из приведенных тестов оценивается в 100 балов. По 10 баллов за каждый правильный вопрос. Проверить себя вы можете по словарям и справочникам. Если Вам лучше удается ответить на вопросы по русскому языку, истории, обществознанию, иностранному языку, то вам следует выбирать для себя специальность гуманитарного направления. Если же Вы хорошо ответите на вопросы теста по математике и географии, а остальные не очень, то лучше выбирайте для себя профессию экономиста или финансового менеджера.

Желаем Вам творческих успехов.

Более 800 000 книг и аудиокниг! 📚

Получи 2 месяца Литрес Подписки в подарок и наслаждайся неограниченным чтением

ПОЛУЧИТЬ ПОДАРОК