Приложение 1.1. Таблица текущей стоимости

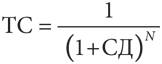
Формула расчета текущей стоимости:

где ТС – текущая стоимость 1 долл.,
N – число периодов времени до получения 1 долл.,
СД – ставка дисконтирования (стоимость заимствования или желаемая ставка доходности).
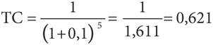
Пример I: N = 5 периодов, СД = 10 %

(стоимость 1 долл., полученного через 5 лет, сегодня равна 0,621 долл.).
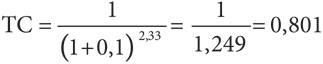
Пример II: N = 2,33 периода, СД = 10 %

(стоимость 1 долл., полученного через 2,33 года, сегодня равна 0,801 долл.)
Примечания к главе 1
Более 800 000 книг и аудиокниг! 📚
Получи 2 месяца Литрес Подписки в подарок и наслаждайся неограниченным чтением
ПОЛУЧИТЬ ПОДАРОКДанный текст является ознакомительным фрагментом.
Содержание
История
История
Loading ...
Failed to load data.
{{name}} | {{author}}