1.2. Оценка стоимости гудвилла и защита бренда
Некоторые определения включают способ расчета его стоимости: “Гудвилл – нематериальный актив, учитываемый только в случае продажи (покупки) компании в целом; превышение рыночной оценки совокупных активов компании над суммой индивидуальных рыночных цен этих же активов, рассматриваемых порознь; цена, уплачиваемая за репутацию приобретаемой компании, ее связи, благоприятное месторасположение; обычно связывается с максимальным потенциалом рентабельности активов; амортизируется за период, не превышающий 40 лет”26.
Оценка гудвилла. Модели и методы. Для большинства компаний гудвилл (деловая репутация фирмы) является самым значительным активом, которому не присущи идентифицируемость и обособленность. Гудвилл облегчает манипулирование активами фирмы, при этом ни руководство фирмы, ни ее бухгалтеры не могут правильно оценить гудвилл, так как его реальная величина может быть измерена только в момент продажи фирмы. Однако оценивать гудвилл необходимо, и сделать это можно разными способами.
В настоящее время сложилось несколько подходов к определению стоимости гудвилла.
1. С точки зрения Международных стандартов финансовой отчетности (МСФО) самосозданный гудвилл, т. е. гудвилл, рассчитанный самостоятельно и показанный в отчетности, не должен признаваться в качестве актива. Например, если фирма стоит в два раза больше, чем ее чистые активы, ее репутацию следует оценить как 0 руб. 00 коп. Таким образом, отчетность фирмы будет полностью согласована с требованиями МСФО.
2. При решении определить стоимость репутации фирмы эта оценка может быть получена из превышения рыночной стоимости фирмы над стоимостью ее чистых активов. То есть если рыночная стоимость всех акций предприятия на сегодняшний день равна $10 000, а стоимость чистых активов – $8 000, то гудвилл будет равен:
$10 000 – $8 000 = $2 000
3. Вариантом оценки гудвилла может быть и текущая дисконтированная оценка будущей сверхприбыли, и этот метод является наиболее распространенным. Например, оценка чистых активов составила $240 000, годовая чистая прибыль компании – $60 000. Определяем отдачу от вложений:
60 000: 240 000 х 100 % = 25 %
Предположим, что стандартная (общеотраслевая) норма рентабельности равна 10 %. Следовательно, для получения прибыли в $60 000 в целом по отрасли необходимо инвестиций:
$60 000: 10 % = $600 000
Таким образом, $600 000 – это действительная, реальная оценка чистых активов фирмы, участвовавших в создании прибыли в $60 000 при норме рентабельности, равной 10 %.
Определяем сверхприбыль предприятия – т. е. превышение ее показателей над среднеотраслевыми:
25 % – 10 % = 15 %
Таким образом, неучтенные активы, участвовавшие в создании прибыли, составляют:
$600 000 – $240 000 = $360 000
Полученная сумма ($360 000) может быть частично идентифицирована. Например, мы “перестарались” с резервами под списываемые товары или “плохих дебиторов”. Предположим, таким образом найдены идентифицируемые ценности фирмы на $140 000. В этом случае гудвилл составляет:
$360 000 – $140 000 = $220 000
4. Существует еще один метод оценки гудвилла – “оценка остаточной стоимости” (master valuation account), что предполагает превышение стоимости предприятия в целом (как бизнеса) над совокупностью оценок его чистых материальных и нематериальных активов. Например, при продаже фирмы за нее заплачено 50 000 руб., а чистые активы равны 40 000 руб. Таким образом, деловая репутация стоит 10 000 руб. (При этом гудвилл будет отражен уже не в балансе продавца, а в балансе покупателя.)
5. Необходимо отметить и особенности учета отрицательного гудвилла (т. е. превышения стоимости активов купленной фирмы над стоимостью ее приобретения). Согласно GAAP (Generally Accepted Accounting Principles – Общепринятые принципы учета) сумма отрицательного гудвилла распределяется пропорционально на стоимость основных средств фирмы, за исключением долгосрочных инвестиций. Если после этого стоимость основных средств снижается до нуля, а отрицательный гудвилл еще остается – эта часть рассматривается в качестве кредита, перенесенного на будущие периоды (deferred credit), и амортизируется в течение срока его полезного использования. Метод амортизации должен указываться в приложении к финансовой отчетности.
В системе МСФО учет отрицательного гудвилла регламентируется МСФО 22 “Объединение компаний” (параграфы 59–64).
6. Далеко не все компании выделяют категорию гудвилла в актив баланса и амортизируют его в дальнейшем. Многие европейские компании относят превышение рыночной стоимости купленной фирмы над стоимостью ее чистых активов на уменьшение собственного капитала. В результате гудвилл в таких компаниях не амортизируется (в отличие от американских компаний), а финансовая прибыль (по крайней мере на бумаге) становится больше. Все это делает финансовую отчетность европейских компаний более привлекательной, чем отчетность компаний американских.
7. Самосозданный гудвилл (т. е. гудвилл, рассчитанный самостоятельно и показанный в отчетности) МСФО не признается, подобно тому, как, например, не признаются самосозданные торговые марки. И этот подход вполне логичен. Например, существует некая фирма с чистыми активами в $1000, которая решила увеличить свои активы с целью получения банковского кредита. Для этого фирма завышает оценку собственной деловой репутации, например, на $1 000 000 и пытается доказать, что она стоит уже $1 001 000. Но выдаче кредита это не способствует: при анализе финансовой отчетности для целей выдачи кредита этот миллион (вместе с прочими нематериальными активами) будет просто элиминирован (вычеркнут) из баланса27.
Как видно, методов оценки предлагается немало. В каких же случаях следует оценивать гудвилл? Приведем несколько ситуаций, когда это необходимо:
• покупка (продажа) бизнеса;
• слияния и поглощения;
• принятие управленческих решений (при управлении стоимостью компании).
Переоценка гудвилла: зарубежный опыт
Зарубежные компании, которые в последние годы участвовали в крупных слияниях или поглощениях, сегодня вынуждены переоценивать гудвилл, так как цена таких сделок выглядит слишком высокой. Медиахолдинг AOL Time Warner уже заявил о списании 54 млрд долл. США для отражения общего снижения своей рыночной стоимости. Во многом это произошло из-за ошибочной оценки стоимости гудвилла (построенной на завышенных прогнозных значениях доходов) при слиянии интернет-оператора AOL и медиахолдинга Time Warner. Другие крупные корпорации заявили, что собираются сделать то же самое: Clear Channel спишет от 15 до 25 млрд долл. США, Vivendi Universal – от 12,3 до 13,2 млрд долл. США, Qwest – от 20 до 30 млрд долл. США, WorldCom – от 15 до 20 млрд долл. США. Специалисты подсчитали, что после завершения этих процессов более 100 млрд долл. США в стоимости активов просто испарятся. Разумеется, это окажет неблагоприятный эффект на фондовый рынок.
Оценка стоимости бизнеса и гудвилла была проведена для крупнейшей сети салонов красоты “Персона Лаб”. Совокупная стоимость активов одного из салонов составляет 390 тыс. долл. США. В качестве готового бизнеса салон был оценен в 920 тыс. долл. США. Высокая оценка стоимости связана с тем, что новый владелец, приобретая салон, получал не только салон красоты, но, возможность использовать известную торговую марку, отлаженные бизнес-процессы и другие явные конкурентные преимущества. То есть в случае с компанией “Персона Лаб”, приобретая салон, новый владелец прежде всего приобретал его гудвилл, который составил 530 тыс. долл. США (920 тыс. долл. США – 390 тыс. долл. США).
Бухгалтерский учет гудвилла
Приобретенная деловая репутация учитывается на балансе и амортизируется в течение 20 лет, но не более срока деятельности организации. Если же приобретенная деловая репутация компании отрицательна, она равномерно относится на финансовые результаты компании как операционный доход.
В соответствии со стандартами российского бухгалтерского учета деловая репутация (гудвилл) определяется как разница между покупной ценой организации (как приобретенного имущественного комплекса в целом) и стоимостью по бухгалтерскому балансу всех ее активов и обязательств.
Гудвилл рассматривается как капитал со сроком амортизации в течение всего предусмотренного периода его полезного использования.
На сегодняшний день в среде специалистов по формированию гудвилла бытует мнение, что, к сожалению, пока надежных и устоявшихся методик денежной оценки нематериального актива не существует. Однако, несмотря на все сложности, в мировой практике имеется целый набор методов, позволяющих с некоторой погрешностью проводить денежную оценку бренда. Условно измерители бренда можно разделить на три категории: экспертные, затратные и рыночные. Первые базируются на экспертных заключениях специалистов, вторые основываются на затратах, производимых на поддержание бренда, третьи связываются с рыночной ценой фирмы, обладательницы известных брендов.
Основными видами поступления нематериальных активов являются их приобретение, создание (силами предприятия либо сторонних исполнителей на договорной основе), поступление в счет вклада в уставный капитал предприятия, безвозмездное поступление, осуществление совместной деятельности. При этом нематериальный актив, полученный в результате разработки, не обязательно, но можно и желательно отображать в бухгалтерском балансе. Почему и в каких случаях есть смысл это делать? Если предприятие имеет:
• намерение, техническую возможность и ресурсы для доведения нематериального актива к состоянию, в котором он пригоден для реализации и использования;
• возможность получения будущих экономических выгод от реализации или использования нематериального актива;
• информацию для достоверного определения затрат, связанных с разработкой нематериального актива.
Есть еще одно распространенное определение гудвилла – как “превышение стоимости приобретения сделанного покупателем по справедливой оценке над учетной стоимостью организации”. Такое определение фактически означает, что гудвилл торгового знака или предприятия может проявиться только, если происходит купля-продажа актива или всего предприятия. Оценка бренда возникает в ситуации продажи торговой марки, а оценка гудвилла предприятия – в момент окончания торгов с потенциальным покупателем компании.
Такая ситуация – существенный недостаток “всех этих брендов” с точки зрения вашей бухгалтерии да и всего внутреннего менеджмента предприятия. Оценить накопленный гудвилл предприятия и бренд, сформированный в процессе работы предприятия, бухгалтерский учет самостоятельно просто не в состоянии. Но расстраиваться не стоит, так как эта ситуация касается не только отечественных стандартов бухгалтерского учета, но и международных.
Итак, первый промежуточный результат: оценка гудвилла и брендов в нашем бухучете при желании может присутствовать, но говорить о ее точности, пользе от имеющихся цифр – не приходится.
Различают два основных подхода к определению стоимости гудвилла. Первый предполагает оценку гудвилла как источник дополнительных поступлений прибыли (метод избыточных прибылей) и использует методы оценки бизнеса. Например, отрасль состоит из трех предприятий, имеющих равные активы (1000 ден. ед.), одинаковую структуру и одинаковый технический уровень (качество). Но прибыльность активов различна: у предприятия А она составляет 25 %, у предприятия В – 15 %, у предприятия С – 5 %. Средняя рентабельность равна 15 %. Если считать, что средняя цена предприятия 1000 ден. ед., то предприятие А оценивается в 1000 ? 25/15 = 1667 ден. ед. Следовательно, гудвилл 1667 – 1000 = 667 ден. ед.
Второй подход основан на учете результатов конкретных сделок. Величина приобретенной деловой репутации принимается в размере разницы между суммой, фактически уплаченной за предприятие, и совокупной стоимостью отдельных активов и пассивов данного предприятия, зафиксированной в последнем по времени составления бухгалтерском балансе. Так, если фирма А куплена за 1700 ден. ед., то гудвилл 1770 – 1000 = 770 ден. ед. Положительную деловую репутацию организации следует рассматривать как надбавку к цене, уплачиваемую покупателем в ожидании будущих экономических выгод, и учитывать в качестве отдельного инвентарного объекта.
Отрицательную деловую репутацию организации следует рассматривать как скидку с цены, предоставляемую покупателю в связи с отсутствием факторов наличия стабильных покупателей, репутации качества, навыков маркетинга и сбыта, деловых связей, опыта управления, уровня квалификации персонала и т. п., и учитывать как доходы будущих периодов.
У деловой репутации нет определенного срока действия. Отечественная практика исходит из того, что большинство возможных факторов, составляющих положительную деловую репутацию, приносят экономическую выгоду в течение 20 лет с даты приобретения. За это время она должна быть амортизирована. Однако необходимо отдавать себе отчет в том, что принятый период амортизации является условным и может сказаться на точности исчисления финансового результата деятельности предприятия.
Отдельные страны ввели максимальный период амортизации: Япония – 5 лет, Нидерланды – 10, Швеция – 10, Австралия – 20, Канада и США – 40.28
Пример оценки стоимости гудвилла с позиций избыточной прибыли. Руководство ЗАО “Ангара” решило оценить гуд-вилл компании методом избыточных прибылей. Чистые активы компании составили 400 тыс. долл. США, а годовая чистая прибыль – 80 тыс. долл. США. Таким образом, рентабельность чистых активов равна 20 % (80/400 ? 100 %). В результате проведенного исследования было определено, что рентабельность активов аналогичных предприятий составляет в среднем 15 %, т. е. прибыль ЗАО “Ангара” на 5 % больше среднего показателя по аналогичным предприятиям. Согласно методу оценки с позиции избыточной прибыли, расхождение возникло из-за того, что не учтена часть активов ЗАО “Ангара”, а именно гудвилл.
Соответственно, чтобы получить 80 тыс. долл. США прибыли при 15 % рентабельности активов, предприятию потребовалось бы располагать активами на сумму 533 тыс. долл. (80/15 %). Из этого можно заключить, что стоимость гудвилла компании составляет 133 тыс. долл. США (533 тыс. долл. США – 400 тыс. долл. США).
Оценка гудвилла по объему реализации. Для использования метода оценки гудвилла по объему реализации нужно знать среднеотраслевые коэффициенты рентабельности. Гудвилл компании рассчитывается по формуле
GV = (NOI – Qf ? Rq)/Rg,
где GV – гудвилл;
NOI – чистый операционный доход от деятельности компании. Рассчитывается как валовой доход за вычетом операционных издержек и расходов на возмещение (на текущий ремонт).;
Rq – среднеотраслевой коэффициент рентабельности реализации продукции;
Rg – коэффициент капитализации нематериальных активов (отношение прибыли компании к стоимости нематериальных активов, учтенных на балансе);
Qf – стоимость реализованной продукции.
Пример. Объем отгружаемой продукции компании составляет 200 тыс. долл. США. Чистый операционный доход компании составляет 40 тыс. долл. США, рентабельность нематериальных активов или коэффициент капитализации составляет 15 %. Компания, проведя исследования, выяснила, что средняя рентабельность аналогичной продукции составляет 5 %. На основании этих данных был рассчитан гудвилл компании, который составил 200 тыс. долл. США: (40 тыс. долл. США – 200 тыс. долл. США ? 0,05) / 0,15. Как и при использовании предыдущего метода, главная проблема в этом случае связана со сложностью получения внешних данных, конкретно – коэффициента среднеотраслевой рентабельности. Поэтому выбор метода оценки гудвилла зависит в первую очередь от доступности информации, которой располагает компания.
Кроме бухгалтерского учета Ольга Пестрецова предлагает нестрогие способы оценки гудвилла29.
Первое. Внедрить управленческий учет и рассматривать цену гудвилла по-новому. Международным компаниям проще: при наличии прозрачного фондового рынка рыночные индикаторы стоимости акций и есть механизм, оценивающий стоимость компаний. Но и там не все предприятия котируют свои акции на фондовом рынке, т. е. и там, и у нас стоимость компании довольно часто определяют одинаковыми методами.
Существует несколько методов оценки стоимости компаний. На крайних полюсах – два противоположных подхода. В первом случае основой являются чистые активы предприятия как разница между активами и обязательствами. Во втором – оценка формируется на основе будущих дисконтированных денежных потоков. Первый подход консервативен и ориентирован на прошлые результаты. Второй – инновационный даже для Запада.
Но именно такой подход позволяет увидеть, чего стоит предприятие не “вчера”, а сегодня и в ближайшем будущем.
Посмотрим на “будущие денежные потоки” повнимательнее. Поскольку они могут быть получены на постоянной основе только от покупателей, приобретающих вашу продукцию, очевиден приоритет службы маркетинга в формировании стоимости. Производство выпускает продукт, а маркетинг на деле доказывает, что его стоило создавать. Практический анализ цепочки формирования ценности продукции или услуг разных предприятий доказывает, что наибольшая ценность формируется именно в сфере маркетинга. Понимание этого позволяет дать более конкретное определение бренда в количественном выражении. Бренд – это продукт плюс добавленная стоимость. Ее величина становится очевидной, когда один и тот же продукт продается под разными ярлыками. Разница между размером прибыли, которую получает предприятие от продаж “просто продукта” и продукта с брендом, и определяет количественную оценку добавленной стоимости. А добавленная стоимость станет основой тех будущих денежных потоков, которые и определяют настоящую стоимость предприятия.
Ведущие оценочные компании используют четыре основных метода оценки стоимости брендов:
1. Затратный метод оценки. Стоимость бренда определяется как сумма затрат на его создание, рекламу и развитие по ценам сегодняшнего дня. Проблема данного метода состоит в том, что прошлые затраты могут не быть напрямую связаны с сегодняшним статусом бренда.
2. Рыночный метод оценки. Стоимость торговой марки оценивается на основе информации о продажах сопоставимых марок на рынке. Сложность данного метода в том, что для объективного определения стоимости необходим активно функционирующий рынок по купле-продаже марок. На самом деле такие сделки происходят не так часто и не всегда информация о них доступна.
3. Метод на основе роялти. В основе оценки находятся суммы, которые необходимо было бы заплатить, если бы права на использование марки принадлежали другой компании. Будущие суммы роялти приводятся к сегодняшней оценке путем дисконтирования. Информация, используемая в этом методе, еще более закрыта и субъективна, чем в предыдущем случае.
4. Экономический метод. В основе лежит оценка вклада марки в бизнес за последние несколько лет с учетом рыночной устойчивости предприятия – соотношение рыночной цены акций к прибыли предприятия на акцию. Недостаток данного метода – слабая связь между прошлыми прибылями и будущими.
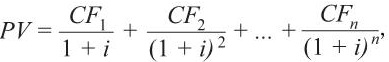
Второе. Верхом на будущем денежном потоке! Наиболее современным методом оценки считается метод, основанный на дисконтировании будущих денежных потоков. Дисконтирование – это механизм подсчета денег, которые предприятие сможет получить в течение нормального периода использования бренда (период, в течение которого бренд будет гарантированно приносить удобоваримый для компании результат. На западе этот период считают с помощью фондового рынка – делят рыночную цену акций на балансовую цену акций. У нас цифры берутся в основном наугад – средней считается 6–8 лет) в обозримом будущем, разбив эту сумму с годовым шагом. Высчитав эту цифру и поняв, что деньги сегодня дороже, чем деньги завтра, предприятие уменьшает будущие денежные потоки, т. е. дисконтирует их с применением соответствующей ставки дисконтирования (т. е. уменьшения). Прогноз будущих денежных потоков и ставки дисконтирования требует особой технологии подсчета. Этот метод обеспечивает единство механизмов оценки стоимости предприятия и его основного фактора – стоимости бренда. В случае, если предприятие имеет портфель брендов, расчет требует выделения денежных потоков на каждый бренд в портфеле. В расчете будущих денежных потоков используется механизм сложного процента. Для тех, кого не пугают формулы, формула оценки бренда имеет следующий вид:

где PV – приведенная стоимость денежных потоков, генерируемых торговой маркой;
CF – денежный поток соответствующего года (от 1 до n-го);
i – ставка дисконтирования.
Например, компания А продает одежду. Приведенная стоимость денежных потоков за последний год у нее равна 200 000 денежных единиц. Если предположить, что последующие 5 лет цифра останется на том же уровне, то расчет будет выглядеть следующим образом:
200 000/1,25 + 200 000/1,252 + 200 000/1,253 + 200 000/1,254 + 200 000/1,255 = округленно 538 000 денежных единиц
Важный нюанс: применение такой формулы возможно только в рамках управленческого учета, являющегося более гибкой системой по сравнению с бухгалтерским учетом. Как показывает российская и украинская практика покупки предприятий и брендов, данные управленческого учета предоставляют потенциальным инвесторам более корректные цифры для принятия решений о направлении инвестиций. Если у вас есть управленческий учет, то возможна и самостоятельная оценка бренда.
Внутренняя оценка стоимости брендов дает предприятию следующие преимущества:
• привлечение необходимых финансовых ресурсов;
• более эффективная оценка стоимости активов и как результат – формирование оптимальной структуры капитала;
• адекватная оценка результатов работы сферы маркетинга на предприятии;
• развитие современных форм бизнеса на основе передачи прав интеллектуальной собственности (франчайзинг, совместная деятельность и т. д.);
• построение стратегии предприятия с учетом маркетинговых факторов и с приоритетом маркетинговых стратегий развития, что выводит отдел маркетинга в сферу принятия стратегических решений.
Показатель стоимости гудвилла. Показатель стоимости гудвилла известные зарубежные консалтинговые фирмы – корпорация Interbrand совместно с Brand Finance – используют для определения специфического репутационного показателя. Сначала рассчитывается доход, полученный компанией за счет гудвилла (разница между реальной прибылью и доходами, которые можно получить, продавая “небрендированный” товар). Потом полученная сумма умножается на специально рассчитанный коэффициент (включающий целый ряд критериев, таких как лидерство компании в отрасли, стабильность финансовых показателей и т. д.). Именно такая поправка к стоимости бренда дает результат в виде стоимости репутации. Существуют и косвенные показатели, демонстрирующие уровень репутации предприятия. Скажем, данные рейтинга наиболее уважаемых компаний США Fortune-500 основаны на результатах опроса руководителей фирм и аналитиков, оценивающих компании по восьми параметрам: качество менеджмента и продукта, способность привлечь и удержать квалифицированные кадры, финансовая стабильность, эффективное использование активов, инвестиционная привлекательность, применение новых технологий, социальная ответственность и охрана окружающей среды.
Экспертный метод оценки, применяемый в компании Interbrand
Более других заслуживает внимания так называемый метод балльной оценки бренда, относящийся к экспертным методам оценки. Для проведения подобной оценки создается авторитетная комиссия, признанная всеми владельцами брендов, которая по определенным правилам присваивает рассматриваемому бренду баллы. Среди параметров принято различать рыночную долю и рейтинг бренда, стабильность бренда, его историю, стабильность товарной категории, интернациональность бренда, рыночные тенденции, рекламную поддержку и программы продвижения товара, юридическую защиту. Количество параметров может меняться в зависимости от того, кто выступает экспертом.
Наиболее авторитетными считаются расчеты независимого интернационального консалтингового агентства Interbrand. Согласно правилам подсчитывается сумма условных баллов, каждый из которых выставляется в определенном диапазоне.
Значение этих параметров может быть как меньше, так и больше единицы. Полученное итоговое значение умножается на годовой объем продаж продукта, выпускаемого под рассматриваемым брендом. Примером такого показателя может служить показатель Brand Leverage, который определяет способность бренда распространяться за счет увеличения количества пользователей, распространения на новые группы продуктов, новые рынки и в новом качестве. Фактически это разница в усилиях, прилагаемых к одному и тому же продукту, если продвигать его с использованием уже имеющегося бренда или начинать “с нуля”.
Самым большим недостатком методики, предлагаемой Interbrand, является игнорирование показателя осведомленности потребителей о бренде, а также отношения потребителя к бренду. Это уменьшает стоимость бренда, который в настоящий момент не продвигается, но по-прежнему имеет хорошую репутацию у потребителей.
Компания ежегодно проводит исследования и делает достоянием общественности свои данные. Последняя оценка датирована 2001 годом, и она включает в себя данные по ста самым дорогим брендам.
Более 800 000 книг и аудиокниг! 📚
Получи 2 месяца Литрес Подписки в подарок и наслаждайся неограниченным чтением
ПОЛУЧИТЬ ПОДАРОКДанный текст является ознакомительным фрагментом.